习近平主持召开学校思想政治理论课
教师座谈会
央视网消息(新闻联播)
中共中央总书记、国家主席、中央军委主席习近平18日上午在京主持召开学校思想政治理论课教师座谈会并发表重要讲话,向全国大中小学思政课教师致以诚挚的问候和崇高的敬意。他强调,办好思想政治理论课,最根本的是要全面贯彻党的教育方针,解决好培养什么人、怎样培养人、为谁培养人这个根本问题。新时代贯彻党的教育方针,要坚持马克思主义指导地位,贯彻新时代中国特色社会主义思想,坚持社会主义办学方向,落实立德树人的根本任务,坚持教育为人民服务、为中国共产党治国理政服务、为巩固和发展中国特色社会主义制度服务、为改革开放和社会主义现代化建设服务,扎根中国大地办教育,同生产劳动和社会实践相结合,加快推进教育现代化、建设教育强国、办好人民满意的教育,努力培养担当民族复兴大任的时代新人,培养德智体美劳全面发展的社会主义建设者和接班人。
习近平首先说:首先,我在这里向在座的各位老师,向全国大中小学思政课的教师,致以诚挚的问候。
座谈会上,清华大学马克思主义学院退休教授林泰、中国人民大学马克思主义学院教授刘建军、复旦大学马克思主义学院高级讲师陈果、南京航空航天大学马克思主义学院副教授徐川、新疆农业职业技术学院马克思主义学院教授王学利、西安兴华小学二级教师王良、武汉市解放中学高级教师吴又存、华东师范大学第一附属中学高级教师陈明青先后发言。他们结合实际就贯彻党的教育方针、加强理论教育、提高思政课教学实效、全面做好立德树人工作、推动思想政治工作创新发展、将社会主义核心价值观融入教育教学全过程、当好学生引路人等问题介绍工作情况,提出意见和建议。
在认真听取大家发言后,习近平发表了重要讲话。他强调,青少年是祖国的未来、民族的希望。我们党立志于中华民族千秋伟业,必须培养一代又一代拥护中国共产党领导和我国社会主义制度、立志为中国特色社会主义事业奋斗终身的有用人才。在这个根本问题上,必须旗帜鲜明、毫不含糊。这就要求我们把下一代教育好、培养好,从学校抓起、从娃娃抓起。在大中小学循序渐进、螺旋上升地开设思想政治理论课非常必要,是培养一代又一代社会主义建设者和接班人的重要保障。
习近平强调,思想政治理论课是落实立德树人根本任务的关键课程。青少年阶段是人生的“拔节孕穗期”,最需要精心引导和栽培。我们办中国特色社会主义教育,就是要理直气壮开好思政课,用新时代中国特色社会主义思想铸魂育人,引导学生增强中国特色社会主义道路自信、理论自信、制度自信、文化自信,厚植爱国主义情怀,把爱国情、强国志、报国行自觉融入坚持和发展中国特色社会主义事业、建设社会主义现代化强国、实现中华民族伟大复兴的奋斗之中。思政课作用不可替代,思政课教师队伍责任重大。
习近平指出,党中央对教育工作高度重视。我们对思想政治工作高度重视,始终坚持马克思主义指导地位,大力推进中国特色社会主义学科体系建设,为思政课建设提供了根本保证。我们对共产党执政规律、社会主义建设规律、人类社会发展规律的认识和把握不断深入,开辟了中国特色社会主义理论和实践发展新境界,中国特色社会主义取得举世瞩目的成就,中国特色社会主义道路自信、理论自信、制度自信、文化自信不断增强,为思政课建设提供了有力支撑。中华民族几千年来形成了博大精深的优秀传统文化,我们党带领人民在革命、建设、改革过程中锻造的革命文化和社会主义先进文化,为思政课建设提供了深厚力量。思政课建设长期以来形成的一系列规律性认识和成功经验,为思政课建设守正创新提供了重要基础。有了这些基础和条件,有了我们这支可信、可敬、可靠,乐为、敢为、有为的思政课教师队伍,我们完全有信心有能力把思政课办得越来越好。
习近平强调,办好思想政治理论课关键在教师,关键在发挥教师的积极性、主动性、创造性。思政课教师,要给学生心灵埋下真善美的种子,引导学生扣好人生第一粒扣子。第一,政治要强,让有信仰的人讲信仰,善于从政治上看问题,在大是大非面前保持政治清醒。第二,情怀要深,保持家国情怀,心里装着国家和民族,在党和人民的伟大实践中关注时代、关注社会,汲取养分、丰富思想。第三,思维要新,学会辩证唯物主义和历史唯物主义,创新课堂教学,给学生深刻的学习体验,引导学生树立正确的理想信念、学会正确的思维方法。第四,视野要广,有知识视野、国际视野、历史视野,通过生动、深入、具体的纵横比较,把一些道理讲明白、讲清楚。第五,自律要严,做到课上课下一致、网上网下一致,自觉弘扬主旋律,积极传递正能量。第六,人格要正。有人格,才有吸引力。亲其师,才能信其道。要有堂堂正正的人格,用高尚的人格感染学生、赢得学生,用真理的力量感召学生,以深厚的理论功底赢得学生,自觉做为学为人的表率,做让学生喜爱的人。
习近平强调,推动思想政治理论课改革创新,要不断增强思政课的思想性、理论性和亲和力、针对性。要坚持政治性和学理性相统一,以透彻的学理分析回应学生,以彻底的思想理论说服学生,用真理的强大力量引导学生。要坚持价值性和知识性相统一,寓价值观引导于知识传授之中。要坚持建设性和批判性相统一,传导主流意识形态,直面各种错误观点和思潮。要坚持理论性和实践性相统一,用科学理论培养人,重视思政课的实践性,把思政小课堂同社会大课堂结合起来,教育引导学生立鸿鹄志,做奋斗者。要坚持统一性和多样性相统一,落实教学目标、课程设置、教材使用、教学管理等方面的统一要求,又因地制宜、因时制宜、因材施教。要坚持主导性和主体性相统一,思政课教学离不开教师的主导,同时要加大对学生的认知规律和接受特点的研究,发挥学生主体性作用。要坚持灌输性和启发性相统一,注重启发性教育,引导学生发现问题、分析问题、思考问题,在不断启发中让学生水到渠成得出结论。要坚持显性教育和隐性教育相统一,挖掘其他课程和教学方式中蕴含的思想政治教育资源,实现全员全程全方位育人。
习近平强调,办好中国的事情,关键在党。各级党委要把思想政治理论课建设摆上重要议程,抓住制约思政课建设的突出问题,在工作格局、队伍建设、支持保障等方面采取有效措施。要建立党委统一领导、党政齐抓共管、有关部门各负其责、全社会协同配合的工作格局,推动形成全党全社会努力办好思政课、教师认真讲好思政课、学生积极学好思政课的良好氛围。学校党委要坚持把从严管理和科学治理结合起来。学校党委书记、校长要带头走进课堂,带头推动思政课建设,带头联系思政课教师。要配齐建强思政课专职教师队伍,建设专职为主、专兼结合、数量充足、素质优良的思政课教师队伍。要把统筹推进大中小学思政课一体化建设作为一项重要工程,推动思政课建设内涵式发展。要完善课程体系,解决好各类课程和思政课相互配合的问题,鼓励教学名师到思政课堂上讲课。各地区各部门负责同志要积极到学校去讲思政课。
丁薛祥、孙春兰、陈希、黄坤明、尤权、何立峰出席座谈会。
中央教育工作领导小组成员,中央和国家机关有关部门负责同志,一线优秀思想政治理论课教师代表参加座谈会。
习近平:思政课是落实立德树人根本任务的
关键课程
今天,我们在这里召开学校思想政治理论课教师座谈会。参加会议的主要是大中小学思政课一线教师。首先,我向在座各位老师,向全国大中小学思政课教师,致以诚挚的问候!
古人说:“敬教劝学,建国之大本;兴贤育才,为政之先务。”教育是民族振兴、社会进步的重要基石,是功在当代、利在千秋的德政工程,对提高人民综合素质、促进人的全面发展、增强中华民族创新创造活力、实现中华民族伟大复兴具有决定性意义。
青少年是祖国的未来、民族的希望。现在,我国各级各类学历教育在校生达到2.7亿,全国各类高等教育在学总规模达到3779万人。青少年阶段是人生的“拔节孕穗期”,这一时期心智逐渐健全,思维进入最活跃状态,最需要精心引导和栽培。“蒙以养正,圣功也。”就是说青少年教育最重要的是教给他们正确的思想,引导他们走正路。思政课是落实立德树人根本任务的关键课程,思政课作用不可替代,思政课教师队伍责任重大。
下面,我就几个问题讲点意见,同大家交流。
第一个问题:办好思想政治理论课意义重大
我们党历来高度重视思政课建设。在革命、建设、改革各个历史时期,我们党对思政课建设都作出过重要部署。新民主主义革命时期,我们党在红军大学、苏维埃大学、抗日军政大学、陕北公学等高校开设“党的建设”、“中国革命运动史”、“马列主义”、“辩证唯物主义”、“科学社会主义”等课程,在列宁小学开设“社会工作”课程,在解放区的小学、陕甘宁边区的中学开设“政治常识”课程。新中国成立后,我们党就把“中国革命常识”、“共同纲领”列入中学教学计划,在高校开设“中国革命史”、“马列主义基础”、“政治经济学”、“辩证唯物论与历史唯物论”等课程,强调中高等学校政治理论课的任务是用马克思列宁主义、毛泽东思想武装青年,培养坚强的革命接班人。我上中学时,学的政治课本叫《做革命的接班人》,书上讲的“热爱生产劳动,艰苦奋斗,用自己的双手建设富强的社会主义祖国”,“立雄心壮志,做革命的接班人”等,影响了我们这一代人的理想信念和人生选择。改革开放以来,党中央先后出台10多个关于学校思想政治工作的文件,对思政课建设提出明确要求,不断推动思政课改革。
办好思政课,是我非常关心的一件事。党的十八大以来,党中央先后召开全国高校思想政治工作会议、全国教育大会,我就思政课建设多次讲过意见。我对教育工作在这方面强调得最多,教育工作别的方面我也强调,但思政课建设我必须更多强调。针对义务教育阶段中道德与法治、语文、历史三科教材建设,我提出要从维护国家意识形态安全、培养社会主义建设者和接班人的高度来抓好。我们培养人的目标是什么要搞清楚,现在非常明确坚定地提出要培养社会主义建设者和接班人。2014年,我在上海考察期间说过,培育和践行社会主义核心价值观要在落细落小落实上下功夫,特别是要抓好青少年等重点人群;在北京市海淀区民族小学考察时提出,学校要把德育放在更加重要的位置,努力做到每一堂课不仅传播知识、而且传授美德,让社会主义核心价值观的种子在学生们心中生根发芽。2016年,我在北京市八一学校考察时强调,基础教育是立德树人的事业,要旗帜鲜明加强思想政治教育、品德教育,加强社会主义核心价值观教育,引导学生自尊自信自立自强。在全国高校思想政治工作会议上,我强调思想政治理论课要坚持在改进中加强、在创新中提高,及时更新教学内容、丰富教学手段,不断改善课堂教学状况,防止形式化、表面化,等等。2018年五四前夕,我在北京大学专门考察了马克思主义学院。今年年初,我去南开大学时也强调了思政课建设。
当前形势下,办好思政课,要放在世界百年未有之大变局、党和国家事业发展全局中来看待,要从坚持和发展中国特色社会主义、建设社会主义现代化强国、实现中华民族伟大复兴的高度来对待。我们正在为实现“两个一百年”奋斗目标而努力。未来30年,我们培养的人要能够完成“两个一百年”的伟业。这就是教育的历史责任。我们党立志于中华民族千秋伟业,必须培养一代又一代拥护中国共产党领导和我国社会主义制度、立志为中国特色社会主义事业奋斗终身的有用人才。这就要求我们把下一代教育好、培养好,从学校抓起、从娃娃抓起。在大中小学循序渐进、螺旋上升地开设思政课非常必要,是培养一代又一代社会主义建设者和接班人的重要保障。人的成长、成熟、成才不是一蹴而就的,而是一个渐进的过程,就跟人的生理发育一样,所以要把这几个阶段都铺陈好。
“为学须先立志。志既立,则学问可次第着力。立志不定,终不济事。”要成为社会主义建设者和接班人,必须树立正确的世界观、人生观、价值观,把实现个人价值同党和国家前途命运紧紧联系在一起。随着我国日益扩大开放、日益走近世界舞台中央,我国同世界的联系更趋紧密、相互影响更趋深刻,意识形态领域面临的形势和斗争也更加复杂。学校是意识形态工作的前沿阵地,可不是一个象牙之塔,也不是一个桃花源。办好思政课,就是要开展马克思主义理论教育,用新时代中国特色社会主义思想铸魂育人,引导学生增强中国特色社会主义道路自信、理论自信、制度自信、文化自信,厚植爱国主义情怀,把爱国情、强国志、报国行自觉融入坚持和发展中国特色社会主义、建设社会主义现代化强国、实现中华民族伟大复兴的奋斗之中。
这些年来,思政课建设成效是显著的,教学方法不断创新,教师乐教善教、潜心育人,教师队伍规模和素质稳步提升,大中小学思政课一体化建设初显成效。同时,我们也要看到,思政课建设中的一些问题亟待解决。有的地方和学校对思政课重要性认识还不够到位;课堂教学效果还需要提升,教学研究力度需要加大、思路需要拓展;教材内容还不够鲜活,针对性、可读性、实效性有待增强;教师选配和培养工作还存在短板,队伍结构还要优化,整体素质还要提升;体制机制还有待完善,评价和支持体系有待健全,大中小学思政课一体化建设需要深化;民办学校、中外合作办学思政课建设还相对薄弱;各类课程同思政课建设的协同效应还有待增强,教师的教书育人意识和能力还有待提高,学校、家庭、社会协同推动思政课建设的合力没有完全形成,全党全社会关心支持思政课建设的氛围不够浓厚。
办好思政课,有不少问题需要解决,但最重要的是解决好信心问题。“欲人勿疑,必先自信。”思政课教师本身都不信,还怎么教学生?我们应该有信心办好思政课。党中央对教育工作高度重视,对思想政治工作、意识形态工作高度重视,始终坚持马克思主义指导地位,大力推进中国特色社会主义学科体系建设,为思政课建设提供了根本保证。我们对共产党执政规律、社会主义建设规律、人类社会发展规律的认识和把握不断深入,开辟了中国特色社会主义理论和实践发展新境界,中国特色社会主义取得举世瞩目的成就,为思政课建设提供了有力支撑。中国特色社会主义理论是一个体系,新时代中国特色社会主义思想就是在当前这个发展阶段中国共产党历史性提出来的。还有中华民族几千年来形成了博大精深的优秀传统文化,我们党带领人民在革命、建设、改革过程中锻造的革命文化和社会主义先进文化,为思政课建设提供了深厚力量。我们通过守正创新形成了中国特色社会主义理论体系,守正就不能偏离马克思主义、社会主义,但不是刻舟求剑,还要往前发展、与时俱进,否则就是僵化的、陈旧的、过时的。思政课建设长期以来形成的一系列规律性认识和成功经验,为思政课建设守正创新提供了重要基础。有了这些基础和条件,有了我们这支可信、可敬、可靠,乐为、敢为、有为的思政课教师队伍,我们完全有信心有能力把思政课办得越来越好。
办好思政课,最根本的是要全面贯彻党的教育方针,解决好培养什么人、怎样培养人、为谁培养人这个根本问题。新时代贯彻党的教育方针,要坚持马克思主义指导地位,贯彻新时代中国特色社会主义思想,坚持社会主义办学方向,落实立德树人的根本任务,坚持教育为人民服务、为中国共产党治国理政服务、为巩固和发展中国特色社会主义制度服务、为改革开放和社会主义现代化建设服务,扎根中国大地办教育,同生产劳动和社会实践相结合,加快推进教育现代化、建设教育强国、办好人民满意的教育,努力培养担当民族复兴大任的时代新人,培养德智体美劳全面发展的社会主义建设者和接班人。
第二个问题:办好思想政治理论课关键在教师,关键在发挥教师的积极性、主动性、创造性
讲好思政课不容易,因为这个课要求高。在浙江工作时,我给大学生讲过思政课,当时我要求浙江省委班子成员都到大学去讲课,而且都联系一所大学,我就联系浙大。我在福建工作时也去讲过。思政课教学涉及马克思主义哲学、政治经济学、科学社会主义,涉及经济、政治、文化、社会、生态文明和党的建设,涉及改革发展稳定、内政外交国防、治党治国治军,涉及党史、国史、改革开放史、社会主义发展史,涉及世界史、国际共运史,涉及世情、国情、党情、民情,等等。这样的特殊性对教师综合素质要求很高。国内外形势、党和国家工作任务发展变化较快,思政课教学内容要跟上时代,只有不断备课、常讲常新才能取得较好教学效果。思政课上学生会提一些尖锐敏感的问题,往往涉及深层次理论和实践问题,把这些问题讲清楚讲透彻并不容易。我们这个国家是一个不断成长的国家,社会主义制度是在不断探索中完善的,现在确立了中国特色社会主义。同时,新中国成立70年、我们党成立90多年来,是在不断摸索中前进的,历经坎坷,也走了些弯路,也出现了像“十年浩劫”这样的情况。对这个问题的认识要把握住,像《国际歌》中唱的那样,我们党也不是神仙皇帝,在摸索中前进肯定会有失误,不要因为有这些失误就丧失对党的信念,动摇对我们所秉持的理想信念的坚定性。
“经师易求,人师难得。”教师承载着传播知识、传播思想、传播真理,塑造灵魂、塑造生命、塑造新人的时代重任。思政课教师,要给学生心灵埋下真善美的种子,引导学生扣好人生第一粒扣子。我在全国高校思想政治工作会议上说过,“讲思想政治理论课,要让信仰坚定、学识渊博、理论功底深厚的教师来讲,让学生真心喜爱、终身受益”。今天,我想进一步谈谈思政课教师素养的问题。
第一,政治要强。思政课要解决学生理想信念问题。要让有信仰的人讲信仰。对马克思主义的信仰,对社会主义和共产主义的信念,只有首先在思政课教师心中扎下根,才能在学生心中开花结果。思政课教师只有自己信仰坚定,对所讲内容高度认同,做学习和实践马克思主义的典范,才能讲得有底气,讲深讲透,才能有效引导学生真学、真懂、真信、真用。要善于从政治上看问题,自觉用新时代中国特色社会主义思想武装头脑,在大是大非面前保持政治清醒。教师是释疑解惑的,自己都疑惑重重,讲出来的东西不会是充分坚定、富有感染力的。
第二,情怀要深。思政课要引导学生立德成人、立志成才。只有打动学生,才能引导学生。教师在课堂上展现的情怀最能打动人,甚至会影响学生一生。真信才有真情,真情才能感染人。我为什么对焦裕禄那么一往情深,就是因为我在上初中一年级时,当时宣传焦裕禄的事迹,我的政治课老师在讲述焦裕禄的事迹时数度哽咽,一度讲不下去了,捂着眼睛抽泣,特别是讲到焦裕禄肝癌最严重时把藤椅给顶破了,我听了很受震撼。思政课教师要有家国情怀,心里装着国家和民族,在党和人民的伟大实践中关注时代、关注社会,汲取养分、丰富思想。要有传道情怀,对马克思主义理论教育事业投入真情实感,对思政课教育教学有执着追求。要有仁爱情怀,把对家国的爱、对教育的爱、对学生的爱融为一体,心中始终装着学生,让思政课成为一门有温度的课。
第三,思维要新。思政课要教会学生科学的思维。思政课教师给予学生的不应该只是一些抽象的概念,而应该是观察认识当代世界、当代中国的立场、观点、方法。思政课教学是一项非常有创造性的工作,要学会辩证唯物主义和历史唯物主义,善于运用创新思维、辩证思维,善于运用矛盾分析方法抓住关键、找准重点、阐明规律,创新课堂教学,给学生深刻的学习体验。在教学中可以讨论问题,更要讲清楚成绩;可以批评不良社会现象,更要引导学生正面思考;可以讲社会主义建设的复杂性和艰巨性,更要引导学生对社会主义前景充满信心。无论怎么讲,最终都要落到引导学生树立正确的理想信念、学会正确的思维方法上来。
第四,视野要广。思政课教师要有知识视野,除了具有马克思主义理论功底之外,还要广泛涉猎其他哲学社会科学以及自然科学的知识。要有宽广的国际视野。学生经常会把国外的事情同国内的情况联系起来,这个过程就会产生一些疑惑。学生的疑惑就是思政课要讲清楚的重点。要善于利用国内外的事实、案例、素材,在比较中回答学生的疑惑,既不封闭保守,也不崇洋媚外,引导学生全面客观认识当代中国、看待外部世界,善于在批判鉴别中明辨是非。还要有历史视野。历史是最好的老师。思政课教师的历史视野中,要有5000多年中华文明史,要有500多年世界社会主义史,要有中国人民近代以来170多年斗争史,要有中国共产党近100年的奋斗史,要有中华人民共和国70年的发展史,要有改革开放40多年的实践史,要有新时代中国特色社会主义取得的历史性成就、发生的历史性变革,通过生动、深入、具体的纵横比较,把一些道理讲明白、讲清楚。
第五,自律要严。思政课教师对自己要求要严格,既要遵守教学纪律,也要遵守政治纪律和政治规矩,做到课上课下一致、网上网下一致,不能在课上讲得不错、却在课下乱讲,不能在现实生活中表现不错、却在网上乱说。思政课教师掌握着课堂的主导权和话语权,一定要自觉弘扬主旋律,积极传递正能量。遵守纪律,不意味着不能讲矛盾、碰问题。有的教师怵于思政课的意识形态属性,担心祸从口出,总是绕开问题讲、避开难点讲。只要坚持正确政治方向,立足于引导学生坚定理想信念,全面客观看问题,就不用担心在政治上出问题。要给教师充分的信任,不抓辫子、不扣帽子、不打棍子。
第六,人格要正。有人格,才有吸引力。亲其师,才能信其道。思政课教师要有堂堂正正的人格,用高尚的人格感染学生、赢得学生。要有学识魅力,用真理的力量感召学生,以深厚的理论功底赢得学生。思想要有境界,语言也要有魅力,从教师的话语中,学生能够感受到教师的人格和学识。要自觉做到修身修为,像曾子那样“吾日三省吾身”,像王阳明那样“诚意正心”、“知行合一”,自觉做为学为人的表率,做让学生喜爱的人。
第三个问题:推动思想政治理论课改革创新,不断增强思政课的思想性、理论性和亲和力、针对性
改革创新是时代精神,青少年是最活跃的群体,思政课建设要向改革创新要活力。如果做一天和尚撞一天钟,照本宣科、应付差事,那“到课率”、“抬头率”势必大打折扣。很多学校在思政课上积极采用案例式教学、探究式教学、体验式教学、互动式教学、专题式教学、分众式教学等,运用现代信息技术等手段建设智慧课堂等,取得了积极成效。这些都值得肯定和鼓励。推动思政课改革创新,要做到以下几个“统一”。
第一,坚持政治性和学理性相统一。政治引导是思政课的基本功能。强调思政课的政治引导功能,并不是要把课讲成简单的政治宣传,而要以透彻的学理分析回应学生,以彻底的思想理论说服学生,用真理的强大力量引导学生。马克思说:“理论只要彻底,就能说服人。”马克思主义理论就是彻底的理论。思政课教师所讲的理论、观点、结论要经得起学生各种“为什么”的追问,这样效果才能好。需要注意的是,不能用学理性弱化政治性,在大中小学的不同学段,无论是通过讲故事、讲历史还是讲理论的方式讲思政课,都要体现思政课的政治引导功能。
第二,坚持价值性和知识性相统一。思政课重在塑造学生的价值观,这一点必须牢牢抓住。强调思政课的价值性,不是要忽视知识性,而是要通过满足学生对知识的渴求加强价值观教育。只有空洞的价值观说教,没有科学的知识作支撑,价值观教育的效果也会大打折扣。当然,在思政课教学中也不能只强调知识性,不能为了应付考试让学生死记硬背知识点,而不注重对学生价值观的引导。学生有兴趣才会记忆,这种记忆是牢靠的,没有兴趣死记硬背就是死知识。知识是载体,价值是目的,要寓价值观引导于知识传授之中。比如,在讲授中国历史时,要注重引导学生传承民族气节、崇尚英雄气概,引导学生学习英雄、铭记英雄,自觉反对那些数典忘祖、妄自菲薄的历史虚无主义和文化虚无主义,自觉提升境界、涵养气概、激励担当。
第三,坚持建设性和批判性相统一。思政课的任务是传导主流意识形态,建设性是其根本。同时,彻底的批判精神是马克思主义本质特征,马克思主义就是在同各种错误思潮的不断斗争中开辟前进道路的。思政课要在传播马克思主义立场、观点、方法的基础上用好批判的武器,直面各种错误观点和思潮,旗帜鲜明进行剖析和批判。任何社会任何时期都会有各种问题存在,要教育引导学生正确看待、辩证认识、理性分析现实问题,辨明大是大非、真假黑白,在对社会假恶丑现象的批判中弘扬真善美。要坚持问题导向,学生关注的、有疑惑的问题其实也就几大类,要把这些问题掰开了、揉碎了,深入研究解答,把事实和道理一条条讲清楚。实际上,有时候不一定讲得那么高大全,从一个问题切入,把一个问题讲深,最后触类旁通,可以带动很多关联问题,有可能是一通百通,提纲挈领。要练就不怕问、怕不问、见问则喜的真本领,不能见学生提问就发怵。真理从来是在诘问和辩难中发展起来的,如果一问就问倒了,那就说明所讲的不是真理或者自己还没有掌握真理。
第四,坚持理论性和实践性相统一。思政课要用科学理论培养人,遵循不同学段学生的认知规律,把马克思主义基本原理讲清楚、讲透彻。同时,马克思主义是在实践中形成并不断发展的,要高度重视思政课的实践性,把思政小课堂同社会大课堂结合起来,在理论和实践的结合中,教育引导学生把人生抱负落实到脚踏实地的实际行动中来,把学习奋斗的具体目标同民族复兴的伟大目标结合起来,立鸿鹄志,做奋斗者。
第五,坚持统一性和多样性相统一。思政课的教学目标、课程设置、教材使用、教学管理等方面有统一要求,但具体落实要因地制宜、因时制宜、因材施教,结合实际把统一性要求落实好,鼓励探索不同方法和路径。思政课教师在教学中要把统编教材作为依据,确保教学的规范性、科学性、权威性,同时也不能简单照本宣科。教材给出的是教学的基本结论和简要论述,要让不同类型的学生都爱听爱学、听懂学会,需要做很多创造性工作。要在教学过程中进行多样化探索,通过多种方式实现教学目标。
第六,坚持主导性和主体性相统一。思政课教学离不开教师的主导,同时要坚持以学生为中心,加大对学生的认知规律和接受特点的研究,发挥学生主体性作用。一些思政课堂运用小组研学、情景展示、课题研讨、课堂辩论等方式教学,让学生来讲,这有利于发挥学生主体性作用。教师要做好画龙点睛工作,加强引导和总结提炼。要教育引导学生多读读马克思主义经典著作、当代中国马克思主义理论著作、中华优秀传统文化典籍等。要开出书单、指出重点,让学生正确理解经典著作,掌握马克思主义精髓,感知中华文化魅力,避免教条主义、本本主义,避免一知半解误读马克思主义。
第七,坚持灌输性和启发性相统一。灌输是马克思主义理论教育的基本方法。列宁说:“工人本来也不可能有社会民主主义的意识。这种意识只能从外面灌输进去。”让学生接受马克思主义,离不开必要的灌输,但这不等于搞填鸭式的“硬灌输”。要注重启发式教育,引导学生发现问题、分析问题、思考问题,在不断启发中让学生水到渠成得出结论。这里面,会讲故事、讲好故事十分重要,思政课就要讲好中华民族的故事、中国共产党的故事、中华人民共和国的故事、中国特色社会主义的故事、改革开放的故事,特别是要讲好新时代的故事。讲故事,不仅老师讲,而且要组织学生自己讲。
第八,坚持显性教育和隐性教育相统一。思政课要做思想政治教育的显性课程。有人提出把思政课变成隐性课程,完全融入其他人文素质课程中,这是不对的。我们办中国特色社会主义教育,就是要理直气壮开好思政课。同时,要挖掘其他课程和教学方式中蕴含的思想政治教育资源,实现全员全程全方位育人。既要有惊涛拍岸的声势,也要有润物无声的效果,这是教育之道。
以上这些,说的是只有打好组合拳,才能讲好思政课,但无论组合拳怎么打,最终要落到把思政课讲得更有亲和力和感染力、更有针对性和实效性上来,实现知、情、意、行的统一,叫人口服心服。
第四个问题:加强党对思想政治理论课建设的领导
办好中国的事情,关键在党。各级党委要把思政课建设摆上重要议程,抓住制约思政课建设的突出问题,在工作格局、队伍建设、支持保障等方面采取有效措施。要建立党委统一领导、党政齐抓共管、有关部门各负其责、全社会协同配合的工作格局,推动形成全党全社会努力办好思政课、教师认真讲好思政课、学生积极学好思政课的良好氛围。学校党委要坚持把从严管理和科学治理结合起来。学校党委书记、校长要带头走进课堂,带头推动思政课建设,带头联系思政课教师。现在,大学开学典礼、毕业典礼搞得很活跃,学校领导去讲讲话,引起社会上较大关注。这些讲话是办学方向和育人导向的重要体现,应该鲜明体现党的教育方针,积极传播马克思主义科学理论,弘扬社会主义核心价值观。但是,从现实情况看,有的讲话一般性的品德要求多,理想信念强调得少;个性化表达多,党的教育主张强调得少;同国际接轨讲得多,中国特色强调得少。这要引起重视。大学领导是教育者,但更应该是政治家。
办好思政课关键在教师。调动思政课教师的积极性、主动性、创造性,必须增强教师的职业认同感、荣誉感、责任感。必须旗帜鲜明讲清楚:讲好思政课不仅有“术”,也有“学”,更有“道”。思政课的政治性、思想性、学术性、专业性是紧密联系在一起的,其学术深度广度和学术含金量不亚于任何一门哲学社会科学!要配齐建强思政课专职教师队伍,建设专职为主、专兼结合、数量充足、素质优良的思政课教师队伍。在思政课教师选用、管理、考核中要严把政治关、师德关、业务关,解决好学风问题。要创新工作机制,加大培养和激励工作力度,落实各项政策保障,提高这个岗位对优秀人才的吸引力,让思政课教师特别是青年教师的创造活力竞相迸发、聪明才智充分涌流。要改革思政课教师评价机制,提高评价中的教学和教学研究占比,克服唯文凭、唯论文、唯帽子等弊端,引导思政课教师把主要精力放在教书育人上。一些学校口头上把思政课捧得很高,但落实不到教育、学术、人才评价机制上,有的跟国外机构设置的评价体系走,一切以在国外期刊上发表论文情况排次、定序、论英雄。思政课专业没办法在所谓国际期刊上发表论文,自然而然成为被价值评价体系排斥的对象,甚至有的学校的思想政治教育学院系都没有办法通过正常渠道进人、评职称,有的靠学校特批照顾。久而久之,有的地方形成了思想政治专业非学术、无学术等极为错误的观点和氛围,给一些思政课教师造成很大心理阴影,严重影响了他们的工作热情。要高度重视思政课教师队伍后备人才培养,加强马克思主义学院、马克思主义理论学科建设,统筹推进马克思主义理论本硕博一体化人才培养工作,不断为思政课教师队伍输送高水平人才。学校干部队伍建设要把思政课教师作为重要来源。教育部门要拿出切实可行的指导性意见。
要把统筹推进大中小学思政课一体化建设作为一项重要工程,坚持问题导向和目标导向相结合,坚持守正和创新相统一,推动思政课建设内涵式发展。要针对不同学段,根据思想政治理论教育规律和学生成长规律科学设置具体教学目标,抓好教学目标设计、课程设置、教材编写、教学改革、教师培养、考核评价等环节,既不能揠苗助长、操之过急,又不能刻舟求剑、故步自封。课程设置要相对稳定,坚持大中小学纵向主线贯穿、循序渐进,各类课程横向结构合理、功能互补的原则,确保教材的政治性、科学性、时代性、可读性。
学校思想政治工作不是单纯一条线的工作,而应该是全方位的。要完善课程体系,解决好各类课程和思政课相互配合的问题,鼓励教学名师到思政课堂上讲课,解决好推动其他教职员工和思政课教师相辅相成的问题,推动思想政治工作贯通人才培养体系,发挥融入式、嵌入式、渗入式的立德树人协同效应。思政课的学习效果和家长、家庭、家风的作用密切相关,要注重家校合作。民办学校、中外合作办学也要把思政课建设摆在重要位置,按照要求办好思政课,在这方面没有例外。各地区各部门负责同志要积极到学校去讲思政课,这是对马克思主义水平的一个考验。能不能讲好思政课,也是一个领导干部政治素质、理论水平、工作作风的体现。
中央教育工作领导小组要把思政课建设纳入重要议事日程。教育部、中宣部等部门要牵头抓思政课建设。相关部门要增强工作合力。思政课建设情况要纳入学校党的建设工作考核、办学质量和学科建设评估等,督促学校切实把这项工作抓起来、抓到位。
教育部关于印发《普通高等学校马克思主义学院
建设标准(2019年本)》的通知
教社科函〔2019〕9号
各省、自治区、直辖市党委教育工作部门、教育厅(教委),新疆生产建设兵团教育局,有关部门(单位)教育司(局),部属各高等学校、部省合建各高等学校:
为深入贯彻落实全国教育大会、全国高校思想政治工作会议、学校思想政治理论课教师座谈会精神,深入贯彻落实中共中央、国务院《关于加强和改进新形势下高校思想政治工作的意见》精神,实施好“新时代高校思想政治理论课创优行动”,进一步建强建好高校马克思主义学院,不断提升马克思主义学院建设的科学化、规范化、现代化水平,打造马克思主义理论教学、研究、宣传和人才培养的坚强阵地,使之成为办好高校思想政治理论课的坚强战斗堡垒,我部研制了《普通高等学校马克思主义学院建设标准(2019年本)》,现印发给你们,请参照执行。同时,《高等学校马克思主义学院建设标准(2017年本)》(教社科〔2017〕1号)废止。
教 育 部
2019年4 月17 日
一级指标 | 二级指标 | 具体要求 |
组织领导与管理 | 领导责任 | 1.学校党政领导班子带头学习贯彻习近平新时代中国特色社会主义思想,树牢“四个意识”,坚定“四个自信”,坚决做到“两个维护”,自觉在政治立场、政治方向、政治原则、政治道路上同以习近平同志为核心的党中央保持高度一致,坚决贯彻落实习近平总书记关于教育的重要论述特别是关于高校思想政治理论课、马克思主义学院建设的重要指示批示和党中央决策部署,深入贯彻落实学校思想政治理论课教师座谈会、全国教育大会、全国高校思想政治工作会议精神,全面推动习近平新时代中国特色社会主义思想进教材进课堂进学生头脑,用习近平新时代中国特色社会主义思想铸魂育人。落实学校党委书记第一责任人责任,校长要切实负起政治责任和领导责任,每学年分别到学院至少召开1次现场办公会,听取工作汇报,解决实际问题。党委书记、校长要带头走进课堂,每学期讲授思政课不少于2次,领导班子其他成员每学期讲授思政课不少于1次,带头推动思政课建设,带头联系思政课教师。分管思想政治理论课建设的校领导和分管教学、科研等工作的校领导要主动研究学院工作,对学院开展经常性工作指导。 |
2.校党委(常委)会议、校长办公会每学期分别至少召开1次专题会议,研究马克思主义学院建设重点工作,会议决议及时落实。推动本校马克思主义学院与其他高校马克思主义学院协同发展,主动争取与有关部门共建马克思主义学院。有计划地安排马克思主义学院教师参加社会实践和校外挂职。 |
|
机构设置 | 1.坚持“马院姓马,在马言马”的鲜明导向和办学原则,擦亮我国大学最鲜亮的底色,由马克思主义学院统一开设全校思想政治理论课,统一管理思想政治理论课教师,统一负责马克思主义理论学科建设,巩固马克思主义在高校意识形态领域的指导地位。 |
2.学院党政领导班子职数合理,按政治强,学术强,作风好要求配备齐全,勇于担当作为。班子成员是中共党员,长期从事思想政治理论课教学和马克思主义理论学科研究,有奉献精神,开拓进取,群众认可。 |
3.本、专科思想政治理论课教学应按课程分别设置教研室(组),研究生思想政治理论课教学可结合实际设置教研室(组),党政工团组织机构健全,教学委员会、学术委员会、学位评定委员会等机构运转有效。 |
工作机制 | 1.制定学院中长期发展规划,规划既符合思想政治理论课建设和马克思主义理论学科发展要求,又与本地或本校重点学院建设要求相一致。 |
2.把抓好党建工作作为办学治院的基本功,加强党的领导,进一步发挥学院党委(党总支)的政治核心作用,履行政治责任,保证监督党的路线方针政策及上级党组织决定的贯彻执行。坚持民主集中制,健全完善学院党组织会议和党政联席会议制度,有关干部任用、党员队伍建设等工作,由党组织会议研究决定,涉及办学方向、教师队伍建设、师生员工切身利益等重大事项,党组织先研究再提交党政联席会议决定。健全学院集体领导、党政分工合作、协调运行的工作机制,提升班子整体功能和议事决策水平。 |
3.完善学院二级教代会或教职工大会制度,实行民主管理和监督。 |
基础建设 | 1.学校在保障学院正常办公经费的基础上,按在校生总数每生每年不低于20元的标准提取专项经费,用于思想政治理论课教师的学术交流、实践研修等,并随着学校经费的增长逐年增加。专项经费安排使用明确,专款专用。 |
2.保证学院办公用房,原则上教授有独立的教研用房。 |
3.配备满足教学科研需要的硬件设备和图书资料室,图书期刊、音像资料齐全,更新及时。 |
思想政治理论课教学 思想政治理论课 教学 | 教学组织 | 1.按照本、专科生思想政治理论课“05方案”,研究生思想政治理论课“10方案”,以及《教育部关于加强新时代高校“形势与政策”课建设的若干意见》开课,在坚定理想信念、厚植爱国主义情怀、加强品德修养、增长知识见识、培养奋斗精神、增强综合素质上下功夫,教育引导学生树立正确的世界观、人生观、价值观,正确认识世界和中国发展大势,正确认识中国特色和国际比较,正确认识时代责任和历史使命,正确认识远大抱负和脚踏实地,坚定对马克思主义的信仰,坚定对社会主义和共产主义的信念,坚定对实现中华民族伟大复兴中国梦的信心,增强中国特色社会主义道路自信、理论自信、制度自信、文化自信,打牢成长成才的科学思想基础。 |
2.落实课程学分及对应学时,不挪用或减少课堂教学学时。落实《新时代高校思想政治理论课教学工作基本要求》,合理安排教务,确保思想政治理论课各门课程有序衔接,原则上晚间和周末不安排思想政治理论课必修课,避免教师周课时安排过于集中。 |
3.使用马克思主义理论研究和建设工程统编的最新版思想政治理论课教材和教学大纲。 |
4.推行中班教学,班级规模原则上不超过100人。推广中班上课、小班研学讨论的教学模式。 |
5.充分发挥思想政治理论课的主渠道作用,充分发掘和运用各学科专业蕴含的思想政治教育资源。 |
教学实施 | 1.以教研室为单位建立健全严格的新教师试讲制度、集体备课制度、教师听课互评制度、集中命题制度等,组织教师集中研讨提问题、集中培训提素质、集中备课提质量。 |
2.具有教学大纲核准和教案评价制度,建设精彩教案、精彩课件、精彩课程资源库,实现优质教学资源共建共享。 |
3.探索考试评价方式改革,注重考查学生运用马克思主义立场、观点、方法分析问题和解决问题的能力。 |
教学改革 | 1.系统组织教师开展教学改革创新,坚持政治性和学理性相统一、价值性和知识性相统一、建设性和批判性相统一、理论性和实践性相统一、统一性和多样性相统一、主导性和主体性相统一、灌输性和启发性相统一、显性教育和隐性教育相统一。注重改进教学模式,提倡专题教学,注重从理论和实践、历史和现实、国际和国内的结合上回答学生关心的热点难点问题,培育推广形式多样、效果良好、受学生欢迎的教学方法,培育推广“配方”新颖、“工艺”精湛、“包装”时尚有特色的品牌课。 |
2.制定实践教学计划,用好社会大课堂,统筹思想政治理论课各门课程的实践教学,落实学时学分、教学内容、指导教师和专项经费。实践教学原则上覆盖全体在校学生,建设相对稳定的校外教学实践基地。 |
3.依托全国高校思想政治理论课教师网络集体备课平台,开发在线课程,建设名师名家网络示范课,推进优质网络教学资源建设。 |
4.建立大学生思想政治理论课自主学习平台,广泛开展大学生自主学习活动。 |
教学考评 | 1.强化课堂教学纪律,健全课堂教学管理办法。 |
2.具有完备的教学内容和教学质量监测管理制度。 |
3.定期组织开展优秀教学成果评选活动,将教学质量和水平作为首要评价标准,确保教师把主要精力放在教书育人上,着力研究教学内容、创新教学方法、不断增强思想政治理论课的思想性、理论性和亲和力、实效性。 |
4.以学生获得感为评价导向,以“有虚有实、有棱有角、有情有义、有滋有味、有己有人”为根本标准,在学生评教基础上进一步完善教师评价制度。探索实行思想政治理论课教师课堂教学退出机制。 |
师资配备 | 1.按照政治要强、情怀要深、思维要新、视野要广、自律要严、人格要正的素养要求,建设一支专职为主、专兼结合、数量充足、素质优良的思想政治理论课教师队伍。教师要认真研究马克思主义理论教育规律,坚持教书和育人相统一、言传和身教相统一、潜心问道和关注社会相统一、学术自由和学术规范相统一,传播知识传播思想传播真理、塑造灵魂塑造生命塑造新人,做先进思想文化的传播者、党执政的坚定支持者,更好担起学生健康成长指导者和引路人的责任,努力成为马克思主义理论教育家。 |
2.按照师生比不低于1:350的比例设置专职教师岗位,制定计划加快配齐建强专职教师队伍。专兼职教师应具有马克思主义理论学科或相关学科背景;新任专职教师原则上是中共党员。 |
3.选聘高水平专家担任特聘教授,统筹好地方党政领导干部、企事业单位负责人、社科理论界专家、各行业先进模范以及高校党委书记校长、院(系)党政负责人、名师大家和专业课骨干教师、日常思想政治教育骨干等八支队伍上思想政治理论课讲台。 |
4.建立“传帮带”工作机制,通过培训、访学、教学比赛等多种方式,切实提高教师教学能力。探索思想政治理论课教师队伍与日常思想政治教育教师队伍深度融合的工作机制。 |
马克思主义理论学科建设 | 学科设置 | 1.学院是马克思主义理论学科的依托机构,严格依据国务院学位委员会发布的《授予博士、硕士学位和培养研究生的学科、专业目录》以及二级学科设置相关规定,设置马克思主义理论学科所属二级学科。 |
2.明确二级学科带头人,发挥学科带头人在学科建设中的作用,凝练学科研究方向,学科研究成果符合马克思主义理论学科内涵和规范。 |
科学研究 | 1.紧紧围绕马克思主义理论一级学科及其所属二级学科开展科研,从整体上研究马克思主义基本原理和科学体系,深入研究马克思列宁主义、毛泽东思想、邓小平理论、“三个代表”重要思想、科学发展观、习近平新时代中国特色社会主义思想,加强21世纪马克思主义、当代中国马克思主义原创性研究,加强贯穿于党的创新理论中的马克思主义立场、观点、方法研究,及时研究阐释习近平总书记最新重要讲话精神;紧紧围绕坚持和发展中国特色社会主义,紧密跟踪亿万人民的创造性实践,深入研究回答时代和实践提出的新的重大课题;紧紧围绕进一步办好高校思想政治理论课,深入研究思想政治理论课教学重点难点问题和教学方法改革创新。 |
2.思想政治理论课专职教师有明确的二级学科归属和研究方向。 |
3.坚持以思想政治理论课教学为核心的科研导向。开展科研成果评优奖励,加大对中青年教师的科研支持力度。 |
4.支持教师经常参与国内外高水平学术研讨交流。有条件的学院积极举办与马克思主义理论学科相关的国际性、全国性、区域性学术会议,提高马克思主义理论学科的学术影响力和国际影响力。 |
人才培养 | 1.探索建立本硕博相衔接的人才培养体系,有条件的高校设置马克思主义理论专业,已设置马克思主义理论专业的高校要切实提高人才培养质量,坚定学生的马克思主义科学信仰,提高运用马克思主义科学武器分析和解决问题的能力,坚定为祖国和人民矢志奋斗的信念。 |
2.人才培养方案符合教育部、国务院学位委员会关于本学科专业学士、硕士、博士学位基本要求,开设核心课程。 |
3.研究生入学考试、课程设置与教学、中期综合考核、科研训练、学位论文开题和答辩等环节管理规范,保证研究生培养质量。 |
4.导师遴选和日常管理严格,保证导师对研究生的指导时间。 |
5.支持专职教师攻读本学科博士学位,安排中青年教师国内外研修。 |
社会服务与社会影响 | 决策咨询 | 1.积极组织教师围绕重大现实问题、重大理论问题和重大实践经验总结开展调研,提交咨询报告。 |
2.支持教师参与各级党委政府重要文件、报告等起草工作,参与企事业单位决策咨询。 |
理论宣讲 | 1.自觉承担起举旗帜、聚民心、育新人、兴文化、展形象的使命任务。 |
2.支持教师参加各级宣讲团,进行马克思主义理论和党的路线方针政策宣讲。 |
3.支持教师在主流媒体刊发有影响的理论文章,创作通俗理论读物、音像作品,参加各类媒体政论节目,弘扬主旋律,传播正能量,抵制和批判各种错误思潮。 |
党的建设与思想政治工作 | 支部建设 | 1.围绕推动全面从严治党向纵深发展,把政治建设摆在首位,着力提高组织力和领导力,突出政治功能、强化政治引领,按照有利于党的领导、有利于党组织活动、有利于党员教育管理的原则,调整优化支部设置,推行在教研室设置教师党支部,把学生党支部建在班级年级上,充分发挥党支部的战斗堡垒作用。 |
2.严格“三会一课”、民主生活会和组织生活会、谈心谈话、民主评议党员等制度。每月至少固定半天时间开展党日活动,组织师生党员深入学习党章党规,深入学习习近平新时代中国特色社会主义思想,开展形势政策教育,用党的创新理论武装头脑、指导实践、推动工作。 |
3.实施党员先锋工程和党员名师工程,创设党员教育管理服务示范岗,使师生党员发挥先锋模范作用。 |
4.建立师生思想政治状况定期研判制度,通过日常联系、谈心谈话等渠道,了解分析师生思想特点和变化,帮助解决实际困难和问题。 |
师德师风 | 1.加强教师思想政治工作,强化理想信念教育,把社会主义核心价值观纳入教师教育,融入教师职前培养准入、在职培训管理全过程。 |
2.把师德师风作为评价教师队伍素质的第一标准,扎实推进师德建设,模范践行《新时代高校教师职业行为十项准则》,实施师德“一票否决”。 |
文化建设 | 1.大力弘扬理论联系实际的学风,注重体现时代性和实践性。培育具有自身特色的学院文化,凝练体现办院目标的院训。 |
2.引领校园文化,提升理论品质,组织举办马克思主义理论课外学习活动。高水平教师积极担任学生理论社团指导教师,履行好指导、引导、服务、联系责任。 |
3.紧紧围绕坚持和发展中国特色社会主义这条主线,引导师生建设良好的政治文化,为巩固马克思主义在高校意识形态领域的指导地位发挥示范引领作用。 |
教育部关于印发《普通高等学校思想政治理论课
教师队伍培养规划(2019—2023年)》的通知
教社科函〔2019〕10号
各省、自治区、直辖市教育厅(教委),新疆生产建设兵团教育局,有关部门(单位)教育司(局),部属各高等学校、部省合建各高等学校:
现将《普通高等学校思想政治理论课教师队伍培养规划(2019—2023年)》印发给你们,请结合本地本部门本校实际情况,认真贯彻执行。各地制定的实施方案和政策举措及时报送我部社会科学司。
教育部
2019年4月17日
普通高等学校思想政治理论课教师队伍
培养规划(2019—2023年)
为深入贯彻落实全国教育大会、全国高校思想政治工作会议、学校思想政治理论课教师座谈会精神,实施好“新时代高校思想政治理论课创优行动”,建设一支专职为主、专兼结合、数量充足、素质优良的高校思想政治理论课(以下简称思政课)教师队伍,全面推动习近平新时代中国特色社会主义思想进教材进课堂进学生头脑,结合思政课教师队伍建设实际,特制定本规划。
一、指导思想
坚持以马克思列宁主义、毛泽东思想、邓小平理论、“三个代表”重要思想、科学发展观、习近平新时代中国特色社会主义思想为指导,教育引导广大思政课教师树牢“四个意识”,坚定“四个自信”,坚决做到“两个维护”,用习近平新时代中国特色社会主义思想铸魂育人,贯彻党的教育方针,落实立德树人根本任务,传播知识、传播思想、传播真理,塑造灵魂、塑造生命、塑造新人,努力成为马克思主义理论教育家,培养担当民族复兴大任的时代新人,培养德智体美劳全面发展的社会主义建设者和接班人。
二、工作目标
进一步完善国家、省(区、市)、校三级思政课教师培养体系,优化培养模式,创新培养举措,丰富培养资源,压实培养责任,使新时代思政课教师理想信念更坚定、马克思主义理论功底更扎实、教书育人水平整体提升,切实做到政治要强、情怀要深、思维要新、视野要广、自律要严、人格要正。在教学改革创新中,坚持政治性和学理性相统一、价值性和知识性相统一、建设性和批判性相统一、理论性和实践性相统一、统一性和多样性相统一、主导性和主体性相统一、灌输性和启发性相统一、显性教育和隐性教育相统一,不断增强思政课的思想性、理论性和亲和力、针对性。配齐建强思政课教师队伍,努力培养造就数十名国内有广泛影响的思政课名师大家、数百名思政课教学领军人才、数万名思政课教学骨干,推动全国高校思政课教师队伍更平衡更充分发展,整体水平不断提升,切实办好新时代高校思政课。
三、培养途径和措施
(一)专题理论轮训计划
紧密围绕习近平新时代中国特色社会主义思想的重大意义、科学体系、精神实质、实践要求,围绕马克思主义基本原理,通过集中培训与经常性教育、部级示范培训与省校专题培训、面对面培训与网络培训、理论学习与实践锻炼等多种方式,推动思政课教师强化马克思主义理论基本功,对习近平新时代中国特色社会主义思想切实做到真学真懂真信真用。
1.开设“周末理论大讲堂”组织马克思主义经典著作专题培训
面向全国高校思政课教师开设“周末理论大讲堂”,重点进行马克思主义经典著作导读、习近平新时代中国特色社会主义思想研学,利用全国高校思政课教师网络集体备课平台,对每次培训进行现场直播。除去寒暑假外,每周开设一讲,每讲两个小时左右。各地教育工作部门在固定地点组织一定数量骨干教师全程集中学习,加强引导管理。
2.学习贯彻习近平新时代中国特色社会主义思想专题培训
按照更好学懂弄通做实的要求,教育部会同有关部门分别面向本专科、研究生各门思政课骨干教师,特别是西部地区高校、高职高专院校思政课骨干教师以及新入职思政课教师开展专题培训。每年举办12期,每期规模为100人,培训时间为3周,每年培训1200人。各地教育工作部门要根据本地思政课教师队伍建设实际制定培训计划,每年举办专题培训。
3.“习近平新时代中国特色社会主义思想的生动实践”专题实践研修
(1)专题研修。教育部、中央宣传部每年暑期以“习近平新时代中国特色社会主义思想的生动实践”为主题开展专题研修,结合中华人民共和国成立70周年、中国共产党成立100周年等重大节庆活动,每年组织400名教师赴“教育部高校思想政治理论课教师研修基地”进行专题研修,培训时间为7天。各地各高校可依托教育部及省级高校思政课教师研修基地组织开展社会实践研修。
(2)实践研学。教育部会同有关部门签署合作协议,在高铁、桥梁、港口等国家基础设施建设和航天、潜海等重大科技成果取得世界领先成就的单位设立一批“新时代高校思政课教师研学基地”。各地各高校五年内组织思政课教师每人至少参加一次实践研学。
(二)示范培训计划
1.思政课教师队伍后备人才培养专项支持计划
依托拥有马克思主义理论一级学科博士学位授权点高校,实施马克思主义理论学科博士、硕士层次人才培养专项支持计划,扩大马克思主义理论学科研究生培养规模,推动马克思主义理论本、硕、博一体化人才培养。依托“全国高校思政课教师网络集体备课平台”,组织专项支持计划实施高校马克思主义理论学科博士研究生参加马克思主义经典著作导读、习近平新时代中国特色社会主义思想研究两门必修课集中统一学习。
2.骨干教师研修项目
(1)国内研修项目。继续办好高校思政课骨干教师研修班,在培训对象、培训课程、培训师资、培训基地等方面突出精准要求,在中央马克思主义理论研究和建设工程统编高校思政课教材(2018年版)由教材体系向教学体系转化上下功夫,在找准、讲清、讲透思想理论教育和“00后”大学生理论兴趣的共鸣点上下功夫。各地各高校要根据培训任务,精心选派符合条件、能发挥示范带动作用的骨干教师参加培训,实现五年内全国所有普通高校培训全覆盖,每所高校至少有2位教师参加国内研修项目。要引导参训教师切实发挥传帮带作用,在教研室等举办“三集三提”活动,即集中研讨提问题、集中备课提质量、集中培训提素质,不断扩大国家级示范培训的影响面。
(2)国外研修项目。每年遴选若干名高校思政课拔尖教师,以公派访问学者身份赴国外进行6至12个月访学研修。
(3)网络培训项目。依托“全国高校思政课教师网络集体备课平台”,根据培训需要及时开展网络直播培训,每年直播50场次以上,覆盖全国高校思政课专兼职教师。开发在线学习频道,供思政课教师自主选学、精细备课。
3.思政课教师在职攻读博士项目
每年依托全国高校第一批19个马克思主义理论一级学科博士点,招收100名从事高校思政课专职教学5年以上的在岗教师在职攻读马克思主义理论学科博士学位。
4.思政课教师省校协作培训项目
指导部分教育部高校思政课教师理论研修、教学研修、实践研修基地充分发挥学科优势、平台优势、队伍优势,与省级教育工作部门建立省校协作机制,省级教育工作部门集中选派思政课教师到基地进行专题培训,创新示范培训方式,扩大研修基地培训工作覆盖面。
5.思政课教师校际协作项目
进一步加强高校马克思主义学院对口支援建设工作指导,鼓励支持全国重点马克思主义学院、教育部示范马克思主义学院精准对口支援西部高校马克思主义学院。鼓励各高校建立校际协作机制,通过挂职、支教、进修等方式,共同开展教学研讨、共同组织课题研究、共同进行人才培养,推动思政课教师队伍均衡发展。
(三)项目资助计划
1.全国高校思政课教学科研团队“择优支持”项目
每年择优支持30个左右优秀思政课教学科研团队,围绕高校思政课建设重大理论和实践问题开展团队攻关。每个项目资助经费40万元,资助期限一般为3年。
2.全国高校“思政课教师名师工作室”项目
每年遴选建设10个左右“名师工作室”项目,培养骨干教师、开展教学研究、推广教学经验。每个“名师工作室”项目资助经费40万元,建设周期一般为3年。
3.全国高校优秀中青年思政课教师“择优资助”项目
每年遴选50名左右教学业绩突出、科研潜力较大、创新能力较强的优秀思政课中青年教师,每位教师资助经费20万元,资助期限一般为3年。鼓励各地各高校采取挂职锻炼、社会实践等方式对优秀中青年教师予以重点培养。
4.全国高校思政课教学方法改革“择优推广”项目
每年遴选20项左右教学方法新、教学效果好、受学生欢迎的优秀思政课教学方法改革项目。每个项目资助经费5万元,资助期限1—2年。
5.全国高校思政课示范教学科研团队建设“西部项目”
每年支持10个左右“西部大开发战略”所涵盖的12个省(区、市)和新疆生产建设兵团高校思政课教学科研团队。每个项目资助经费40万元,资助期限一般为3年。
6.全国高校思政课教学研究项目
每年设立不少于100项,针对思政课教学中的重点、难点、热点问题开展研究,加强优质教学资源建设。每个项目资助经费10万元,资助期限1—2年。
(四)宣传推广计划
1.全国高校思政课示范教学展示活动
从2019年起,每2年分专题组织开展一次全国高校思政课示范教学展示活动,将优秀教学录像、课件、教案进行集中展示,表彰一批政治立场坚定、师德师风过硬、理论功底扎实、教学理念先进、育人效果突出的优秀思政课教师,培育推广“配方新颖、工艺精湛、包装时尚、终身受用”的品牌课,充分发挥示范教学的引领作用。
2.全国高校思政课教师队伍建设先进经验宣传
与中央主流媒体合作,持续宣传思政课教师队伍建设站位高、保障硬、工作实、业绩佳的地方和高校;持续宣传一批基层党建强、团队文化优、教学水平高、社会影响好的思政课教学科研团队;持续宣传一批政治素质过硬、业务能力精湛、育人水平高超的思政课教师。各地各高校要主动与中央及省(区、市)主流媒体合作,宣传推广思政课教师队伍建设先进经验,为思政课教师发展营造良好氛围。
四、组织领导和实施
本规划由教育部负责组织实施。各地各高校要结合本地本校实际认真贯彻落实。要建设一批省级思政课教师研修基地,设立一批思政课教师专项培养资助项目,切实加大政策、资金支持力度,实现思政课教师综合素养持续提升。
中共中央办公厅国务院办公厅印发
《关于深化新时代学校思想政治理论课改革创新的若干意见》
新华社北京8月14日电近日,中共中央办公厅、国务院办公厅印发了《关于深化新时代学校思想政治理论课改革创新的若干意见》,并发出通知,要求各地区各部门结合实际认真贯彻落实。
《关于深化新时代学校思想政治理论课改革创新的若干意见》全文如下。
为深入贯彻落实习近平新时代中国特色社会主义思想和党的十九大精神,贯彻落实习近平总书记关于教育的重要论述,特别是在学校思想政治理论课教师座谈会上的重要讲话精神,全面贯彻党的教育方针,解决好培养什么人、怎样培养人、为谁培养人这个根本问题,坚持不懈用习近平新时代中国特色社会主义思想铸魂育人,现就深化新时代学校思想政治理论课(以下简称思政课)改革创新提出如下意见。
一、重要意义和总体要求
1.重要意义。教育是国之大计、党之大计,承担着立德树人的根本任务。思政课是落实立德树人根本任务的关键课程,发挥着不可替代的作用。党的十八大以来,以习近平同志为核心的党中央高度重视思政课建设,作出一系列重大决策部署,各地区各部门和各级各类学校采取有力措施认真贯彻落实,思政课建设取得显著成效。同时也要看到,面对新形势新任务新挑战,有的地方和学校对思政课重要性认识还不够到位,课堂教学效果还需提升,教材内容不够鲜活,教师选配和培养工作存在短板,体制机制有待完善,评价和支持体系有待健全,大中小学思政课一体化建设需要深化,民办学校、中外合作办学思政课建设相对薄弱,各类课程同思政课建设的协同效应有待增强,学校、家庭、社会协同推动思政课建设的合力没有完全形成,全党全社会关心支持思政课建设的氛围不够浓厚。办好思政课,要放在世界百年未有之大变局、党和国家事业发展全局中来看待,要从坚持和发展中国特色社会主义、建设社会主义现代化强国、实现中华民族伟大复兴的高度来对待。思政课建设只能加强、不能削弱,必须切实增强办好思政课的信心,全面提高思政课质量和水平。
2.指导思想。全面贯彻党的教育方针,坚持马克思主义指导地位,贯彻落实习近平新时代中国特色社会主义思想,坚持社会主义办学方向,落实立德树人根本任务,坚持教育为人民服务、为中国共产党治国理政服务、为巩固和发展中国特色社会主义制度服务、为改革开放和社会主义现代化建设服务,扎根中国大地办教育,同生产劳动和社会实践相结合,加快推进教育现代化、建设教育强国、办好人民满意的教育,努力培养担当民族复兴大任的时代新人,培养德智体美劳全面发展的社会主义建设者和接班人。
3.基本原则。一是坚持党对思政课建设的全面领导,把加强和改进思政课建设摆在突出位置。二是坚持思政课建设与党的创新理论武装同步推进,全面推动习近平新时代中国特色社会主义思想进教材进课堂进学生头脑,把社会主义核心价值观贯穿国民教育全过程。三是坚持守正和创新相统一,落实新时代思政课改革创新要求,不断增强思政课的思想性、理论性和亲和力、针对性。四是坚持思政课在课程体系中的政治引领和价值引领作用,统筹大中小学思政课一体化建设,推动各类课程与思政课建设形成协同效应。五是坚持培养高素质专业化思政课教师队伍,积极为这支队伍成长发展搭建平台、创造条件。六是坚持问题导向和目标导向相结合,注重推动思政课建设内涵式发展,全面提升学生思想政治理论素养,实现知、情、意、行的统一。
二、完善思政课课程教材体系
4.整体规划思政课课程目标。在大中小学循序渐进、螺旋上升地开设思政课,引导学生立德成人、立志成才,树立正确世界观、人生观、价值观,坚定对马克思主义的信仰,坚定对社会主义和共产主义的信念,增强中国特色社会主义道路自信、理论自信、制度自信、文化自信,厚植爱国主义情怀,把爱国情、强国志、报国行自觉融入坚持和发展中国特色社会主义事业、建设社会主义现代化强国、实现中华民族伟大复兴的奋斗之中。大学阶段重在增强使命担当,引导学生矢志不渝听党话跟党走,争做社会主义合格建设者和可靠接班人。高中阶段重在提升政治素养,引导学生衷心拥护党的领导和我国社会主义制度,形成做社会主义建设者和接班人的政治认同。初中阶段重在打牢思想基础,引导学生把党、祖国、人民装在心中,强化做社会主义建设者和接班人的思想意识。小学阶段重在启蒙道德情感,引导学生形成爱党、爱国、爱社会主义、爱人民、爱集体的情感,具有做社会主义建设者和接班人的美好愿望。
5.调整创新思政课课程体系。加强以习近平新时代中国特色社会主义思想为核心内容的思政课课程群建设。在保持思政课必修课程设置相对稳定基础上,结合大中小学各学段特点构建形成必修课加选修课的课程体系。全国重点马克思主义学院率先全面开设“习近平新时代中国特色社会主义思想概论”课。博士阶段开设“中国马克思主义与当代”,硕士阶段开设“中国特色社会主义理论与实践研究”,本科阶段开设“马克思主义基本原理概论”、“毛泽东思想和中国特色社会主义理论体系概论”、“中国近现代史纲要”、“思想道德修养与法律基础”、“形势与政策”,专科阶段开设“毛泽东思想和中国特色社会主义理论体系概论”、“思想道德修养与法律基础”、“形势与政策”等必修课。各高校要重点围绕习近平新时代中国特色社会主义思想,党史、国史、改革开放史、社会主义发展史,宪法法律,中华优秀传统文化等设定课程模块,开设系列选择性必修课程。高中阶段开设“思想政治”必修课程,围绕学习习近平总书记最新重要讲话精神开设“思想政治”选择性必修课程。初中、小学阶段开设“道德与法治”必修课程,可结合校本课程、兴趣班开设思政类选修课程。
6.统筹推进思政课课程内容建设。坚持用习近平新时代中国特色社会主义思想铸魂育人,以政治认同、家国情怀、道德修养、法治意识、文化素养为重点,以爱党、爱国、爱社会主义、爱人民、爱集体为主线,坚持爱国和爱党爱社会主义相统一,系统开展马克思主义理论教育,系统进行中国特色社会主义和中国梦教育、社会主义核心价值观教育、法治教育、劳动教育、心理健康教育、中华优秀传统文化教育。遵循学生认知规律设计课程内容,体现不同学段特点,研究生阶段重在开展探究性学习,本专科阶段重在开展理论性学习,高中阶段重在开展常识性学习,初中阶段重在开展体验性学习,小学阶段重在开展启蒙性学习。
7.加强思政课教材体系建设。国家教材委员会统筹大中小学思政课教材建设,科学制定教材建设规划,注重提升思政课教材的政治性、时代性、科学性、可读性。国家统一开设的大中小学思政课教材全部由国家教材委员会组织统编统审统用,在教材中及时融入马克思主义中国化最新成果、坚持和发展中国特色社会主义最新经验、马克思主义理论学科最新研究进展。地方或学校开设的思政课选修课教材,由各地负责组织审定。研究编制习近平新时代中国特色社会主义思想进课程教材指导纲要,研究编制中华优秀传统文化、革命文化、社会主义先进文化、科技创新文化及总体国家安全观等进课程教材指南,编制中华民族古代历史和革命建设改革时期英雄人物、先进模范进课程教材图谱,分课程组织编写高校思政课专题教学指南,组织专家编写深度解读教材体系的示范教案,实施思政课优秀讲义出版工程,开列马克思主义经典著作、当代中国马克思主义理论著作、中华优秀传统文化典籍书单,建设思政课网络教学资源库。
三、建设一支政治强、情怀深、思维新、视野广、自律严、人格正的思政课教师队伍
8.加快壮大学校思政课教师队伍。各地在核定编制时要充分考虑思政课教师配备要求。高校要严格按照师生比不低于1:350的比例核定专职思政课教师岗位,在编制内配足,且不得挪作他用,并尽快配备到位。制定关于加强新时代中小学思政课教师队伍建设的意见,加强中小学专职思政课教师配备。各地要统筹解决好思政课教师缺口问题。各高校可在与思政课教学内容相关的学科选择优秀教师进行培训后充实思政课教师队伍,可探索胜任思政课教学的党政管理干部转岗为专职思政课教师机制和办法,积极推动符合条件的辅导员参与思政课教学。高校要积极动员政治素质过硬的相关学科专家转任思政课教师。采取兼职的办法遴选相关单位的骨干支援高校思政课建设。各地应对民办学校指派思政课教师或组建专门讲师团。制定新时代高校思政课教师队伍建设规定。
9.切实提高思政课教师综合素质。以培育一大批优秀马克思主义理论教育家为目标,制定思政课教师队伍培养培训规划,在中央党校(国家行政学院)及地方党校(行政学院)面向思政课教师举办学习习近平新时代中国特色社会主义思想专题研修班,办好“周末理论大讲堂”、骨干教师研修班,实施好思政课教师在职攻读马克思主义理论博士学位专项计划。建强高校思政课教师研修基地,依托首批全国重点马克思主义学院所在高校重点开展理论研修,依托高水平师范类院校重点开展教学研修,全面提升每一位思政课教师的理论功底、知识素养。建立一批“新时代高校思想政治理论课教师研学基地”,组织思政课教师在国内考察调研,在深入了解党和人民伟大实践中汲取养分、丰富思想。组织思政课骨干教师赴国外调研,拓宽国际视野,在比较分析中坚定“四个自信”。完善国家、省(自治区、直辖市)、学校三级培训体系。本科院校按在校生总数每生每年不低于40元,专科院校按每生每年不低于30元的标准提取专项经费,用于思政课教师的学术交流、实践研修等,并逐步加大支持力度。中央和地方主流媒体的政论、时政节目要积极推出优秀思政课教师传播理论成果,展示综合素质,增强社会影响力。
10.切实改革思政课教师评价机制。严把政治关、师德关、业务关,明确与思政课教师教学科研特点相匹配的评价标准,进一步提高评价中教学和教学研究占比。各高校在专业技术职务(职称)评聘工作中,要单独设立马克思主义理论类别,校级专业技术职务(职称)评聘委员会要有同比例的马克思主义理论学科专家。按教师比例核定思政课教师专业技术职务(职称)各类岗位占比,高级专业技术职务(职称)岗位比例不低于学校平均水平,指标不得挪作他用。要将思政课教师在中央和地方主要媒体上发表的理论文章纳入学术成果范畴。实行不合格思政课教师退出机制。
11.加大思政课教师激励力度。增强教师的职业认同感、荣誉感、责任感,把思政课教师和辅导员中的优秀分子纳入各类高层次人才项目,在“万人计划”、“长江学者奖励计划”、“四个一批”等人才项目中加大倾斜支持力度。各地要因地制宜设立思政课教师和辅导员岗位津贴,纳入绩效工资管理,相应核增学校绩效工资总量。要把思政课教师作为学校干部队伍重要来源,学校党政管理干部原则上应有思政课教师、辅导员或班主任工作经历。党和国家设立的荣誉称号要注重表彰优秀思政课教师,教育部门要大力推选思政课教师年度影响力人物等先进典型。对立场坚定、学养深厚、联系实际、成果突出的思政课教师优秀代表加大宣传力度,发挥示范引领作用。
12.大力加强思政课教师队伍后备人才培养工作。注重选拔培养高素质人才从事马克思主义理论学习研究和教育教学,统筹推进马克思主义理论学科本硕博一体化人才培养,构建完善马克思主义理论学科本硕博学科体系和课程体系。全国重点马克思主义学院通过提前批次录取或综合考核招生等方式招收马克思主义理论专业本科生,给予推免政策倾斜鼓励优秀马克思主义理论专业本科生攻读硕士学位,采取硕博连读或直接攻读博士学位的方式加强培养。深入实施“高校思想政治理论课教师队伍后备人才培养专项支持计划”,专门招收马克思主义理论学科研究生,并逐步按需增加招生培养指标。加强思政课教师队伍后备人才思想政治工作,加大发展党员力度,提高党员发展质量。
四、不断增强思政课的思想性、理论性和亲和力、针对性
13.加大思想性、理论性资源供给。进一步建强马克思主义理论学科,进入世界一流大学建设的高校应将马克思主义理论学科设为重点建设学科,为思政课建设提供坚实学科支撑。深入研究坚持和发展中国特色社会主义的重大理论和实践问题,为增强思政课的思想性、理论性提供多角度学术支持。充分发挥马克思主义理论学科的领航作用,大力推进中国特色社会主义学科体系建设。根据需求逐步增加马克思主义理论学科博士学位授权点,支持有关高校联合申报马克思主义理论学科博士学位授权点。组织思政课教师及时学习习近平总书记最新重要讲话精神,及时学习相关文件精神,全面理解和准确把握党中央重大决策部署。
14.加大思政课教研工作力度。建立健全大中小学思政课教师一体化备课机制,普遍实行思政课教师集体备课制度,全面提升教研水平。遴选学科带头人担任各门课集体备课牵头人,学校领导干部要积极支持和主动参与。建立思政课教师“手拉手”备课机制,发挥思政课建设强校和高水平思政课专家示范带动作用。加强“全国高校思想政治理论课教师网络集体备课平台”建设,完善思政课教师网络备课服务支撑系统。建立纵向跨学段、横向跨学科的交流研修机制,深入开展相邻学段思政课教师教学交流研讨。推动建立思政课教师与其他学科专业教师交流机制。大力推进思政课教学方法改革,提升思政课教师信息化能力素养,推动人工智能等现代信息技术在思政课教学中应用,建设一批国家级虚拟仿真思政课体验教学中心。
15.切实加强思政课课题研究和成果交流。国家社科基金规划项目、教育部人文社科研究项目等设立思政课教师研究专项,开展思政课教学重点难点问题和教学方法改革创新等研究,逐步加大对相关课题研究的支持力度。各地要参照设立相关项目并给予经费投入。加强马克思主义理论教学科研成果学术阵地建设,首批重点建设10家学术期刊和若干学术网站,支持新创办一定数量的思政课研究学术期刊。制定思政课教师发表文章的重点报刊目录,将《人民日报》、《求是》、《解放军报》、《光明日报》、《经济日报》等中央媒体及地方党报党刊列入其中。委托高校马克思主义学院分片建立高校思政课教学创新中心,设立一批思政课教学质量监测基地。在国家级教学成果奖中单列思政课专项,每2年开展1次全国思政课教学展示活动,定期开展优秀思政课示范课巡讲活动。打造一批思政课国家精品在线开放课程,探索建设融媒体思政公开课,推动优质教学资源共享。
16.全面提升高校马克思主义学院建设水平。强化“马院姓马、在马言马”的鲜明导向,把思政课教学作为高校马克思主义学院基本职责,将马克思主义学院作为重点学院、马克思主义理论学科作为重点学科、思政课作为重点课程加强建设,在发展规划、人才引进、公共资源使用等方面给予马克思主义学院优先保障。建好建强一批全国重点马克思主义学院和示范性马克思主义学院,依托有条件的高校马克思主义学院建设一批习近平新时代中国特色社会主义思想研究院。建立和完善马克思主义理论学科体系,实施马克思主义理论学科领航工程,在马克思主义理论学习研究宣传上发挥引领带动作用。全面推动各地宣传、教育等部门共建所在地区高校马克思主义学院。实施马克思主义学院院长培养工程,加强马克思主义学院领导班子建设。
17.整体推进高校课程思政和中小学学科德育。深度挖掘高校各学科门类专业课程和中小学语文、历史、地理、体育、艺术等所有课程蕴含的思想政治教育资源,解决好各类课程与思政课相互配合的问题,发挥所有课程育人功能,构建全面覆盖、类型丰富、层次递进、相互支撑的课程体系,使各类课程与思政课同向同行,形成协同效应。建成一批课程思政示范高校,推出一批课程思政示范课程,选树一批课程思政教学名师和团队,建设一批高校课程思政教学研究示范中心。
五、加强党对思政课建设的领导
18.严格落实地方党委思政课建设主体责任。地方各级党委要把思政课建设作为党的建设和意识形态工作的标志性工程摆上重要议程,党委常委会每年至少召开1次专题会议研究思政课建设,抓住制约思政课建设的突出问题,在工作格局、队伍建设、支持保障等方面采取有效措施。建立和完善省(自治区、直辖市)党委领导班子成员联系高校和讲思政课特别是“形势与政策”课制度,各省(自治区、直辖市)党委和政府主要负责同志每学期结合学习和工作至少讲1次课。各地要把民办学校、中外合作办学院校纳入思政课建设整体布局。思政课建设情况纳入各级党委领导班子考核和政治巡视。
19.推动建立高校党委书记、校长带头抓思政课机制。加强和改进高校领导干部深入基层联系学生工作,推动高校领导干部兼任班主任等工作,建立健全高校党委书记、校长及职能部门力量深入一线了解学生思想动态、服务学生发展的制度性安排。高校党委书记、校长作为思政课建设第一责任人,要结合自身学科背景和工作经历,带头走进课堂听课讲课,带头推动思政课建设,带头联系思政课教师。高校党委常委会每学期至少召开1次会议专题研究思政课建设,高校党委书记、校长每学期至少给学生讲授4个课时思政课,高校领导班子其他成员每学期至少给学生讲授2个课时思政课,可重点讲授“形势与政策”课。开学典礼、毕业典礼讲话等要鲜明体现党的教育方针、积极传播马克思主义科学理论、弘扬社会主义核心价值观。要把思政课建设情况纳入学校党的建设工作考核、办学质量和学科建设评估标准体系。
20.积极拓展思政课建设格局。中央教育工作领导小组要把思政课建设纳入重要议事日程,教育部、中央宣传部等部门要牵头抓好思政课建设,中央军委政治工作部要指导抓好军队院校思政课建设。教育部成立大中小学思政课一体化建设指导委员会,加强对不同类型思政课建设分类指导。有关部门和各地要保证思政课管理人员配备,确保事有人干、责有人负。强化中考、高考、研究生招生考试对学生学习思政课的指挥棒作用,将思政课学习实践情况等作为重要内容纳入综合素质评价体系,探索记入本人档案,作为学生评奖评优重要标准,作为加入中国少年先锋队、中国共产主义青年团、中国共产党的重要参考。坚持开门办思政课,推动思政课实践教学与学生社会实践活动、志愿服务活动结合,思政小课堂和社会大课堂结合,鼓励党政机关、企事业单位等就近与高校对接,挂牌建立思政课实践教学基地,完善思政课实践教学机制。制定关于加快构建高校思想政治工作体系的意见,汇聚办好思政课合力。加大正面宣传和舆论引导力度,推动形成全党全社会努力办好思政课、教师认真讲好思政课、学生积极学好思政课的良好氛围。
中共教育部党组关于印发《“新时代高校思想政治理论课创优行动”工作方案》的通知
教党函〔2019〕90号
各省、自治区、直辖市党委教育工作部门、教育厅(教委),新疆生产建设兵团教育局,部属各高等学校党委、部省合建各高等学校党委:
“新时代高校思想政治理论课创优行动”工作方案》已经教育部党组会议审议通过,现印发给你们,请参照执行。
中共教育部党组
2019年9月2日
“新时代高校思想政治理论课创优行动”
工作方案
为深入贯彻落实习近平新时代中国特色社会主义思想和党的十九大精神,贯彻落实习近平总书记关于教育的重要论述特别是在学校思想政治理论课教师座谈会上的重要讲话精神,贯彻落实中共中央办公厅、国务院办公厅印发的《关于深化新时代学校思想政治理论课改革创新的若干意见》精神,全面贯彻党的教育方针,用习近平新时代中国特色社会主义思想铸魂育人,解决好培养什么人、怎样培养人、为谁培养人这个根本问题,高质量办好新时代高校思想政治理论课(以下简称思政课),现就实施“新时代高校思想政治理论课创优行动”制定如下工作方案。
一、工作目标
充分发挥高校思政课落实立德树人根本任务关键课程作用,全面推动习近平新时代中国特色社会主义思想进教材进课堂进学生头脑,建设一支专职为主、专兼结合、数量充足、素质优良的思政课教师队伍,培育一批优质教学资源,打造一大批内容准确、思想深刻、形式活泼的优质示范课堂。教育引导学生深化对马克思主义历史必然性、科学真理性、理论意义和现实意义的认识,坚定对马克思主义的信仰,坚定对社会主义和共产主义的信念,坚定对实现中华民族伟大复兴中国梦的信心,形成正确的世界观、人生观、价值观,增强中国特色社会主义道路自信、理论自信、制度自信、文化自信,不断提升大学生对思政课的获得感,努力培养担当民族复兴大任的时代新人,培养德智体美劳全面发展的社会主义建设者和接班人。
二、工作思路
聚焦全面推动习近平新时代中国特色社会主义思想进教材进课堂进学生头脑,在坚定理想信念、厚植爱国主义情怀、加强品德修养、增长知识见识、培养奋斗精神、增强综合素质上下功夫,把建设一支高素质的思政课教师队伍作为关键,以高水准教材为遵循,以高水平教学资源为支撑,以高质量示范课堂为抓手,以高效率工作机制为保障,以高标准教学质量为目标,深入推进思政课思路创优、师资创优、教材创优、教法创优、机制创优、环境创优,进一步完善顶层设计、优化工作格局、加大精准施策力度,展现新时代高校思政课新气象新作为新担当,全面提升思政课质量和水平。
三、工作举措
(一)抓好思路创优,发挥思政课全面推动习近平新时代中国特色社会主义思想“三进”主渠道作用,坚持用习近平新时代中国特色社会主义思想铸魂育人
1.推动以学习习近平新时代中国特色社会主义思想为核心内容的思政课课程群建设。在前期试点基础上,推动37所全国重点马克思主义学院所在高校率先全面开设“习近平新时代中国特色社会主义思想概论”课,把《习近平新时代中国特色社会主义思想学习纲要》等作为教学遵循;加强“形势与政策”课建设,及时深入宣讲习近平新时代中国特色社会主义思想特别是习近平总书记最新重要讲话精神,持续讲、深入讲、跟进讲,久久为功;推动高校紧紧围绕新时代坚持和发展中国特色社会主义理论和实践,开设与思政课必修课相配套的系列选修课。
2.完善思政课教师队伍建设的顶层设计。研究制定《新时代高校思想政治理论课教师队伍建设规定》,进一步明确思政课教师的职责要求、配备选聘、培养发展、管理考核等;贯彻落实《普通高等学校思想政治理论课教师队伍培养规划(2019—2023年)》(教社科函〔2019〕10号),完善国家、省(区、市)、高校三级培训体系,在五年内实现全国高校思政课专职教师集中培训全覆盖,坚持不懈用习近平新时代中国特色社会主义思想武装头脑、指导实践、推动工作。
3.提升高校马克思主义学院建设水平。贯彻落实《普通高等学校马克思主义学院建设标准(2019年本)》;适时开展全国重点马克思主义学院建设督察,推动有关高校落实全国重点马克思主义学院建设方案;系统开展高校马克思主义学院对口支援建设专项工作,选派一批高水平的思政课教学科研管理骨干到相对薄弱的马克思主义学院挂职锻炼;全力推动有关部门共建高校马克思主义学院。
4.召开深化新时代学校思政课改革创新现场推进会。拟于2019年下半年召开会议,深入贯彻落实学校思想政治理论课教师座谈会精神,全面交流展示各地各学校贯彻落实习近平总书记“3·18”重要讲话精神,贯彻落实《中共中央办公厅国务院办公厅印发〈关于深化新时代学校思想政治理论课改革创新的若干意见〉的通知》精神的好经验好做法,对当前和今后一个时期深化学校思政课改革创新进行再部署再推进。
(二)抓好师资创优,引导思政课教师政治要强、情怀要深、思维要新、视野要广、自律要严、人格要正,建设一支专职为主、专兼结合、数量充足、素质优良的思政课教师队伍
5.加快壮大高校思政课教师队伍。推动各地各高校按规定的师生比设置专职思政课教师岗位,在编制内配足,且不得挪作他用,并尽快配备到位;推动党政机关、社科研究机构、党校、讲师团等方面专家到高校马克思主义学院挂职兼职;推动高校在其他学科优秀教师中遴选合适人员培训后加入思政课教师队伍;推动普遍建立思政课特聘教授制度,统筹好地方党政领导干部、企事业单位管理专家、社科理论界专家、各行业先进模范以及高校党委书记校长、院(系)党政负责人、名师大家和专业课骨干教师、日常思想政治教育骨干等八支队伍上思政课讲台。
6.实施“高校思政课教师队伍后备人才培养专项支持计划”。规范专项支持计划研究生培养工作,推动落实全国重点马克思主义学院招收马克思主义理论专业本科生的工作部署,建立和完善马克思主义理论本硕博学科教学体系,加大马克思主义理论学科本硕博一体化人才培养力度,建立并完善马克思主义理论学科本硕博学科体系和课程体系。
7.高水平开展思政课教师示范培训。把学深悟透习近平新时代中国特色社会主义思想以及思政课教学中的重点难点问题作为主要培训内容,每年举办12期高校思政课骨干教师示范培训班;以习近平总书记在《领导干部要重视学习马克思主义经典著作》的重要讲话中提出的篇目为基础,依托“全国高校思政课教师网络集体备课平台”,汇聚理论界优质师资,面向全国高校思政课教师开设“周末理论大讲堂”,重点开展马克思主义经典著作导读和习近平新时代中国特色社会主义思想研学。
8.实施高校思政课教师社会实践专项工作。整合社会其他方面的组织力量和优质资源,开展以习近平新时代中国特色社会主义思想指导下党和国家事业取得的历史性成就、发生的历史性变革为主的案例式社会实践研学,在国家重大基础设施建设单位、重大科研项目研究单位、大型国企等设立一批“新时代高校思政课教师研学基地”,在深入了解党和人民的伟大实践中汲取养分、丰富思想。开展以红船精神、井冈山精神、长征精神、延安精神、西柏坡精神、沂蒙精神、抗战精神、大庆精神、红旗渠精神、“两弹一星”精神、雷锋精神、劳模精神、焦裕禄精神等中国革命精神谱系为主的体验式社会实践研修,引导思政课教师坚定理想信念,不忘初心、牢记使命;依托教育系统自身组织力量和相关资源建设一批“全国高校思想政治理论课教师研修基地”。实施思政课教师国外研修项目,组织思政课骨干教师赴国外调研,帮助教师丰富比较教学素材,增强中国特色社会主义道路自信、理论自信、制度自信、文化自信。
9.改革思政课教师评价机制。坚持以思政课教学为核心的科研导向,强化对思政课教学实绩和思想政治工作实践的基本要求,进一步提高教学和教学研究占比,坚决克服唯文凭、唯论文、唯帽子等问题;推动高校在专业技术职务(职称)评审工作中单独设立马克思主义理论类别,按教师比例核定思政课教师专业技术职务(职称)各类岗位占比;丰富科研成果认定形式,要将思政课教师在中央和地方主要媒体发表的理论文章纳入学术成果范畴。
10.加大思政课教师激励力度。把思政课教师纳入各类高层次人才项目,在“长江学者奖励计划”等人才项目中对思政课教师加大倾斜支持力度,给予更多关心和支持;推动将思政课教师作为学校干部队伍的重要来源;因地制宜推动实施思政课教师岗位津贴;实施高校示范马克思主义学院和优秀教学科研团队建设项目,建设一批示范马克思主义学院(教学科研部门)、教研室,设立“高校思政课教师银龄工作室”,建设一批全国高校“思政课名师工作室”,择优资助一批思政课优秀青年教师;实行不合格思政课教师退出机制。
(三)抓好教材创优,着重把中国特色社会主义取得举世瞩目的成就融入思政课教材,集中建设优质教学资源
11.编好用好马工程高校思政课教材。强化教材研究,加强高校思政课国家教材建设重点研究基地工作;做好新修订马工程高校思政课教材从教材体系向教学体系转化,讲深讲准、讲清讲透新教材所体现的党的理论创新、中国特色社会主义实践和马克思主义理论研究的最新成果;推动大中小学思政课课程教材一体化建设,实现各学段教学内容和目标循序渐进、螺旋上升。
12.定期研制印发《高校“形势与政策”课教学要点》。每年春、秋季学期,教育部党组专门研究《高校“形势与政策”课教学要点》,紧密围绕学习贯彻习近平新时代中国特色社会主义思想特别是习近平总书记最新重要讲话精神,把增强学生中国特色社会主义道路自信、理论自信、制度自信、文化自信贯穿教学全过程,有针对性地指导高校“形势与政策”课教学。
13.研制各门思政课必修课专题教学指南及配套课件教案。指导教育部高校思政课教学指导委员会,依据新修订马工程高校思政课教材,针对本科和高职高专不同教学需求分课程编写专题教学指南,精心开发配套课件,编写深度解读教案,供全国思政课教师参考使用。
14.加强思政课立体化教材体系建设。组织力量分课程编写教学辅助材料,编写与统编教材相配套的教师参考书、疑难问题解析、教学案例解析、学生辅学读本等教学用书,组织编发高校思政课教学活页。
(四)抓好教法创优,坚持政治性和学理性相统一、价值性和知识性相统一、建设性和批判性相统一、理论性和实践性相统一、统一性和多样性相统一、主导性和主体性相统一、灌输性和启发性相统一、显性教育和隐性教育相统一,不断增强思政课的思想性、理论性和亲和力、针对性
15.全面开展高校思政课教师“手拉手”集体备课。确定每门课集体备课牵头人,建立思政课教师“手拉手”备课工作机制,通过遴选若干所思政课建设强校和若干名高水平思政课专家,以包课包片包校等方式建立相对固定的集体备课机制,推动高校深入开展集中研讨提问题、集中备课提质量、集中培训提素质活动,整体提升思政课教师的业务能力和育人水平;加强“全国高校思政课教师网络集体备课平台”建设,完善网络集体备课制度,建立健全高校思政课教指委专家、思政课教学名师在线答疑机制,为每位教师提供个性化、精细化、高水平、高效率的备课服务。
16.深入实施思政课教学方法改革项目择优推广计划。定期遴选教学方法新、教学效果好、受学生欢迎的优秀思政课教学方法改革项目予以资助,通过各种形式广泛推广,同时鼓励有条件的高校基于优质在线开放课程应用的线上线下混合式教学模式讲授思政课,激发思政课课堂活力。
17.开展全国高校思政课教学展示活动。每两年开展一次全国高校思政课教学展示活动,覆盖高职高专、本科和研究生各门思政课必修课,强化教学导向,引导思政课教师潜心从教、热心从教。2019年启动首届全国高校思政课教学展示活动。
18.设立一批高校思政课教学创新中心。在华北、东北、华中、华东、华南、西南、西北地区建立高校思政课教学创新中心,建立健全教学需求实时收集和反馈机制,不间断地为思政课教师提供丰富多样、易学易教的教学资源。
(五)抓好机制创优,建立党委统一领导、党政齐抓共管、有关部门各负其责、全社会协同配合的工作格局,为思政课建设提供有力保障
19.进一步落实思政课建设主体责任。实施“一省一策思政课”集体行动,针对各地实际,加强工作指导和政策资源支持,形成各具特色的工作方案并深入实施;健全部、省、校三级听课制度,实现高校党委书记、校长和分管领导对思政课必修课听课全覆盖,思政课教学科研二级机构班子成员对所有授课教师听课全覆盖,省级教育工作部门对属地高校听课全覆盖,教育部高校思政课教学指导委员会专家飞行听课对所有地区全覆盖。
20.全面开展优秀思政课示范课巡讲活动。组建“优秀思想政治理论课示范课百人巡讲团”,把习近平总书记在学校思想政治理论课教师座谈会上的重要讲话精神融入示范课,分赴各地各校交流共享。
21.生动开展思政课建设优秀成果巡礼活动。面向全国遴选思政课建设优秀成果,分类别通过多种渠道、多种方式开展巡礼活动,把好经验好做法“送上门”开展横向交流,促进各地各校与思政课建设先进典型对标对表,深入推动思政课改革创新。
22.严格开展思政课建设专项巡察。坚持问题导向,抽调相关方面的骨干力量分赴各地巡察,深入学校调研指导,与地方和学校有关负责同志一起研究解决问题的办法,制定改进工作的方案,做到揣着问题下去、带着举措回来,推动党中央关于学校思政课建设的各项决策部署不折不扣落到实处。
(六)抓好环境创优,推动形成全党全社会努力办好思政课、教师认真讲好思政课、学生积极学好思政课的良好氛围
23.进一步落实高校党委书记校长带头责任。推动高校党委书记、校长带头走进课堂,带头推动思政课建设,带头联系思政课教师;推动高校党政干部密切联系学生,关心参与思政课建设,建立健全相关制度安排;把思政课建设情况纳入高校党委领导班子考核和政治巡视。
24.完善高校思政课建设格局。积极建设“思政课程+课程思政”大格局,制定专项工作方案,全面推进“课程思政”建设,使各类课程与思政课同向同行,形成协同效应;推动思政课教学与日常思想政治教育结合起来,思政课实践教学与学生社会实践活动统筹起来;加强民办高校、中外合作办学思政课建设,推动向民办高校选派思政课教师,或组建专门讲师团、教授团承担相关民办高校思政课教学任务;建立家庭参与思想政治理论教育的工作机制。
25.营造有利于思政课改革创新的良好舆论环境。积极联系中央电视台、人民网、新华网等媒体的政论节目、时政节目,推出优秀思政课教师传播理论成果,扩大其社会影响;推动重点建设一批思政课方面的学术期刊,支持思政课教师发表研究成果;加大宣传力度,配合中央主流媒体常态化报道各地各高校加强思政课建设的好经验好做法好典型。
新时代高等学校思想政治理论课教师队伍
建设规定
中华人民共和国教育部令第46号
《新时代高等学校思想政治理论课教师队伍建设规定》已经2020年1月7日教育部第1次部务会议审议通过,现予公布,自2020年3月1日起施行。
教育部部长陈宝生
2020年1月16日
新时代高等学校思想政治理论课教师队伍
建设规定
第一章 总则
第一条 为深入贯彻落实习近平新时代中国特色社会主义思想和党的十九大精神,贯彻落实习近平总书记关于教育的重要论述,全面贯彻党的教育方针,加强新时代高等学校思想政治理论课(以下简称思政课)教师队伍建设,根据《中华人民共和国教师法》,中共中央办公厅、国务院办公厅印发的《关于深化新时代学校思想政治理论课改革创新的若干意见》,制定本规定。
第二条 思政课是高等学校落实立德树人根本任务的关键课程,是必须按照国家要求设置的课程。
思政课教师是指承担高等学校思政课教育教学和研究职责的专兼职教师,是高等学校教师队伍中承担开展马克思主义理论教育、用习近平新时代中国特色社会主义思想铸魂育人的中坚力量。
第三条 主管教育部门、高等学校应当加强思政课教师队伍建设,把思政课教师队伍建设纳入教育事业发展和干部人才队伍建设总体规划,在师资建设上优先考虑,在资金投入上优先保障,在资源配置上优先满足。
第四条 高等学校应当落实全员育人、全程育人、全方位育人要求,构建完善立德树人工作体系,调动广大教职工参与思想政治理论教育的积极性、主动性,动员各方面力量支持、配合思政课教师开展教学科研、组织学生社会实践等工作,提升思政课教学效果。
第二章 职责与要求
第五条 思政课教师的首要岗位职责是讲好思政课。思政课教师要引导学生立德成人、立志成才,树立正确世界观、人生观、价值观,坚定对马克思主义的信仰,坚定对社会主义和共产主义的信念,增强中国特色社会主义道路自信、理论自信、制度自信、文化自信,厚植爱国主义情怀,把爱国情、强国志、报国行自觉融入坚持和发展中国特色社会主义事业、建设社会主义现代化强国、实现中华民族伟大复兴的奋斗之中,为培养德智体美劳全面发展的社会主义建设者和接班人作出积极贡献。
第六条 对思政课教师的岗位要求是:
(一)思政课教师应当增强“四个意识”,坚定“四个自信”,做到“两个维护”,始终在政治立场、政治方向、政治原则、政治道路上同以习近平同志为核心的党中央保持高度一致,模范践行高等学校教师师德规范。做到信仰坚定、学识渊博、理论功底深厚,努力做到政治强、情怀深、思维新、视野广、自律严、人格正,自觉用习近平新时代中国特色社会主义思想武装头脑,做学习和实践马克思主义的典范,做为学为人的表率。
(二)思政课教师应当用好国家统编教材。以讲好用好教材为基础,认真参加教材使用培训和集体备课,深入研究教材内容,吃准吃透教材基本精神,全面把握教材重点、难点,认真做好教材转化工作,编写好教案,切实推动教材体系向教学体系转化。
(三)思政课教师应当加强教学研究。坚持以思政课教学为核心的科研导向,紧紧围绕马克思主义理论学科内涵开展科研,深入研究思政课教学方法和教学重点难点问题,深入研究坚持和发展中国特色社会主义的重大理论和实践问题。
(四)思政课教师应当深化教学改革创新。按照政治性和学理性相统一、价值性和知识性相统一、建设性和批判性相统一、理论性和实践性相统一、统一性和多样性相统一、主导性和主体性相统一、灌输性和启发性相统一、显性教育和隐性教育相统一的要求,增强思政课的思想性、理论性和亲和力、针对性,全面提高思政课质量和水平。
第三章 配备与选聘
第七条 高等学校应当配齐建强思政课专职教师队伍,建设专职为主、专兼结合、数量充足、素质优良的思政课教师队伍。
高等学校应当根据全日制在校生总数,严格按照师生比不低于1:350的比例核定专职思政课教师岗位。公办高等学校要在编制内配足,且不得挪作他用。
第八条 高等学校应当根据思政课教师工作职责、岗位要求,制定任职资格标准和选聘办法。
高等学校可以在与思政课教学内容相关的学科遴选优秀教师进行培训后加入思政课教师队伍,专职从事思政课教学;并可以探索胜任思政课教学的党政管理干部转岗为专职思政课教师,积极推动符合条件的辅导员参与思政课教学,鼓励政治素质过硬的相关学科专家转任思政课教师。
第九条 高等学校可以实行思政课特聘教师、兼职教师制度。鼓励高等学校统筹地方党政领导干部、企事业单位管理专家、社科理论界专家、各行业先进模范以及高等学校党委书记校长、院(系)党政负责人、名家大师和专业课骨干、日常思想政治教育骨干等讲授思政课。支持高等学校建立两院院士、国有企业领导等人士经常性进高校、上思政课讲台的长效机制。
第十条 主管教育部门应当加大高等学校思政课校际协作力度,加强区域内高等学校思政课教师柔性流动和协同机制建设,支持高水平思政课教师采取多种方式开展思政课教学工作。采取派驻支援或组建讲师团等形式支持民办高等学校配备思政课教师。
第十一条 高等学校应当严把思政课教师政治关、师德关、业务关,明确思政课教师任职条件,根据国家有关规定和本规定要求,制定思政课教师规范或者在聘任合同中明确思政课教师权利义务与职责。
第十二条 高等学校应当设置独立的马克思主义学院等思政课教学科研二级机构,统筹思政课教学科研和教师队伍的管理、培养、培训。
思政课教学科研机构负责人应当是中国共产党党员,并有长期从事思政课教学或者马克思主义理论学科研究的经历。缺少合适人选的高等学校可以采取兼职等办法,从相关单位聘任思政课教学科研机构负责人。
第四章 培养与培训
第十三条 主管教育部门和高等学校应当加强思政课教师队伍后备人才培养。
国务院教育行政部门应当制定马克思主义理论专业类教学质量国家标准,加强本硕博课程教材体系建设,可统筹推进马克思主义理论本硕博一体化人才培养工作。实施“高校思政课教师队伍后备人才培养专项支持计划”,专门招收马克思主义理论学科研究生,不断为思政课教师队伍输送高水平人才。高等学校应当注重选拔高素质人才从事马克思主义理论学习研究和教育教学,加强思政课教师队伍后备人才思想政治工作。
第十四条 建立国家、省(区、市)、高等学校三级思政课教师培训体系。国务院教育行政部门建立高等学校思政课教师研修基地,开展国家级示范培训,建立思政课教师教学研究交流平台。主管教育部门和高等学校应当建立健全思政课教师专业发展体系,定期组织开展教学研讨,保证思政课专职教师每3年至少接受一次专业培训,新入职教师应参加岗前专项培训。
第十五条 主管教育部门和高等学校应当拓展思政课教师培训渠道,设立思政课教师研学基地,定期安排思政课教师实地了解中国改革发展成果、组织思政课教师实地考察和比较分析国内外经济社会发展状况,创造条件支持思政课教师到地方党政机关、企事业单位、基层等开展实践锻炼。
高等学校应当根据全日制在校生总数,按照本科院校每生每年不低于40元、专科院校每生每年不低于30元的标准安排专项经费,用于保障思政课教师的学术交流、实践研修等,并根据实际情况逐步加大支持力度。
第十六条 主管教育部门和高等学校应当加大对思政课教师科学研究的支持力度。教育部人文社科研究项目要设立专项课题,主管教育部门要设立相关项目,持续有力支持思政课教师开展教学研究。主管教育部门和高等学校应当加强马克思主义理论教学科研成果学术阵地建设,支持新创办思政课研究学术期刊,相关哲学社会科学类学术期刊要设立思政课研究栏目。
第五章 考核与评价
第十七条 高等学校应当科学设置思政课教师专业技术职务(职称)岗位,按教师比例核定思政课教师专业技术职务(职称)各类岗位占比,高级岗位比例不低于学校平均水平,不得挪作他用。
第十八条 高等学校应当制定符合思政课教师职业特点和岗位要求的专业技术职务(职称)评聘标准,提高教学和教学研究在评聘条件中的占比。
高等学校可以结合实际分类设置教学研究型、教学型思政课教师专业技术职务(职称),两种类型都要在教学方面设置基本任务要求,要将教学效果作为思政课教师专业技术职务(职称)评聘的根本标准,同时要重视考查科研成果。
高等学校可以设置具体条件,将承担思政课教学的基本情况以及教学实效作为思政课教师参加高一级专业技术职务(职称)评聘的首要考查条件和必要条件。将为本专科生上思政课作为思政课教师参加高级专业技术职务(职称)评聘的必要条件。将至少一年兼任辅导员、班主任等日常思想政治教育工作经历并考核合格作为青年教师晋升高一级专业技术职务(职称)的必要条件。
思政课教师指导1个马克思主义理论类学生社团1年以上,且较好履行政治把关、理论学习、业务指导等职责的,在专业技术职务(职称)评聘中同等条件下可以优先考虑。
思政课教师在思想素质、政治素质、师德师风等方面存在突出问题的,在专业技术职务(职称)评聘中实行“一票否决”。
第十九条 高等学校应当完善思政课教师教学和科研成果认定制度,推行科研成果代表作制度,制定思政课教师发表文章的重点报刊目录,将思政课教师在中央和地方主要媒体发表的理论文章纳入学术成果范围,细化相关认定办法。教学和科研成果可以是专著、论文、教学参考资料、调查报告、教书育人经验总结等。在制定思政课教师专业技术职务(职称)评聘指标和排次定序依据时,要结合实际设置规则,不得将国外期刊论文发表情况和出国访学留学情况作为必要条件。
第二十条 高等学校应当健全思政课教师专业技术职务(职称)评价机制,建立以同行专家评价为主的评价机制,突出思政课的政治性、思想性、学术性、专业性、实效性,评价专家应以马克思主义理论学科为主,同时可适当吸收相关学科专家参加。
思政课教师专业技术职务(职称)评审委员会应当包含学校党委有关负责同志、思政课教学科研部门负责人,校内专业技术职务(职称)评聘委员会应有同比例的马克思主义理论学科专家。
高等学校应当制定思政课教师专业技术职务(职称)管理办法。完善专业技术职务(职称)退出机制,加强聘期考核,加大激励力度,准聘与长聘相结合。
第六章 保障与管理
第二十一条 高等学校应当切实提高专职思政课教师待遇,要因地制宜设立思政课教师岗位津贴。高等学校要为思政课教师的教学科研工作创造便利条件,配备满足教学科研需要的办公空间、硬件设备和图书资料。
第二十二条 高等学校思政课教师由马克思主义学院等思政课教学科研机构统一管理。每门课程都应当建立相应的教学科研组织,并可以根据需要配备管理人员。
第二十三条 主管教育部门和高等学校要大力培养、推荐、表彰思政课教师中的先进典型。全国教育系统先进个人表彰中对思政课教师比例或名额作出规定;国家级教学成果奖、高等学校科学研究优秀成果奖(人文社科)中加大力度支持思政课;“长江学者奖励计划”等高层次人才项目中加大倾斜支持优秀思政课教师的力度。
第二十四条 主管教育部门和高等学校应当加强宣传、引导,并采取设立奖励基金等方式支持高等学校思政课教师队伍建设,以各种方式定期对优秀思政课教师和马克思主义理论学科学生给予奖励。
第二十五条 高等学校应当加强对思政课教师的考核,健全退出机制,对政治立场、政治方向、政治原则、政治道路上不能同党中央保持一致的,或理论素养、教学水平达不到标准的教师,不得继续担任思政课教师或马克思主义理论学科研究生导师。
第七章 附则
第二十六条 本规定适用于普通高等学校(包括民办高等学校)思政课教师队伍建设。其他类型高等学校的思政课教师队伍建设可以参照本规定执行。
第二十七条 省级教育部门可以根据本规定,结合本地实际制定相关实施细则。
第二十八条 本规定自2020年3月1日起施行。
中共教育部党组印发《教育系统关于学习宣传贯彻落实〈新时代爱国主义教育实施纲要〉的工作方案》的通知
教党〔2020〕11号
各省、自治区、直辖市党委教育工作部门、教育厅(教委),新疆生产建设兵团教育局,部属各高等学校党委、部省合建各高等学校党委:
《教育系统关于学习宣传贯彻落实〈新时代爱国主义教育实施纲要〉的工作方案》已经部党组会审议通过,现印发给你们,请结合实际认真贯彻执行。
中共教育部党组
2020年1月16日
教育系统关于学习宣传贯彻落实
《新时代爱国主义教育实施纲要》的工作方案
为推动《新时代爱国主义教育实施纲要》(以下简称《纲要》)学习宣传贯彻落实,在教育系统扎实开展深入、持久、生动的爱国主义教育,着力培养德智体美劳全面发展的社会主义建设者和接班人,特制定本方案。
一、总体要求
以习近平新时代中国特色社会主义思想为指导,紧紧围绕中国特色社会主义伟大实践、“两个一百年”奋斗目标和实现中华民族伟大复兴中国梦,深刻认识中国共产党团结带领全国各族人民进行的革命、建设、改革实践是爱国主义的伟大实践。完善立德树人体制机制,加快构建大中小学一体贯穿、循序渐进的教育体系,着力通过颂扬先进形象、打造有效载体、营造浓厚氛围、激发爱国情感、利用重要仪式、激励使命担当等途径砥砺爱国奋进。加强政府、学校、家庭、社会育人力量整体协同,教育引导广大师生从感性到理性、从自在到自为,激发爱党爱国爱社会主义的巨大热情,凝聚奋进新时代、实现民族复兴的磅礴伟力。
——坚持长短衔接,将传承民族精神与弘扬时代精神相结合。引导师生了解中华民族的悠久历史和灿烂文化,从历史中汲取营养和智慧,广泛开展党史、新中国史、改革开放史教育,将培养青年制度自信作为重要一环,引导广大师生牢记红色政权是从哪里来的、新中国是怎么建立起来的,不断增强“四个自信”。
——坚持由浅入深,将激发爱国之情与投身报国之行相结合。广泛开展理想信念教育,深化社会主义和共产主义宣传教育,深化中国特色社会主义和中国梦宣传教育,注重激发师生爱国情感,使爱国主义成为每个人心中的坚定信念和精神力量,引导师生把实现个人理想融入实现国家富强、民族振兴、人民幸福的伟大梦想之中,把爱国之情转化为报国之行。
——坚持内外联动,将挖掘校内资源与运用社会资源相结合。着力挖掘校园文化中蕴含的爱国主义教育元素和承载的丰厚道德资源,传承学校精神文脉,在爱校荣校教育中厚植师生家国情怀,让中华文化基因、传统美德观念植根于师生的思想意识和道德观念,积极统筹协调校外爱国主义教育资源,形成全社会共同推动爱国主义教育的良好氛围。
——坚持远近贯通,将久久为功与重点推进相结合。遵循教育教学规律和学生成长发展规律,坚持贯穿结合融入,研究制定中长期规划,久久为功、绵绵用力。把加强爱国主义教育作为教育系统2020年思想政治工作的主题,围绕关键节点、重点领域,细化具体方案和重点举措,推动落细落小落实,加快推进工作。
二、建立爱国主义教育工作体系
(一)在明理上下功夫,准确把握新时代爱国主义精神的丰富内涵
爱国主义是中华民族的民族心、民族魂,是中华民族最重要的精神财富,是中国人民和中华民族维护民族独立和民族尊严的强大精神动力。爱国主义的本质就是坚持爱国和爱党、爱社会主义高度统一。要深刻认识爱国主义精神实质和丰富内涵,切实加强理论研究与科学阐释,深入推进课程和教材内容体现爱国内涵,将爱国主义精神贯穿于学校教育教学全过程,成为全体师生的思想共识和自觉行动。
1.“立心铸魂”行动:加强爱国主义理论研究阐释。充分发挥教育系统人才资源优势和理论研究优势,组织研究力量,对《纲要》精神进行全方位、深层次、多角度的研究阐释,传承和弘扬中华民族爱国传统,推进重大现实问题、重大理论问题、重大实践经验总结的课题研究,推动建立爱国主义教育目标体系、方法体系、内容体系、制度体系。围绕爱国主义教育、公民道德教育主题,推广展示一批精品项目,编写一批优秀作品并纳入思想政治工作文库,推动出版一批反映中国特色、中国风格、中国气派的哲学社会科学重大原创性著作。
2.“笃志润德”行动:推动爱国主义教育进课堂、进教材。充分发挥课堂教学的主渠道作用,将爱国主义精神贯穿于学校教育教学全过程。将弘扬爱国主义精神、加强道德养成作为思政课重要内容,以爱国主义故事、先进典型事迹等鲜活素材充实思政课案例库。围绕政治认同、家国情怀、文化素养、法治意识、道德修养等重点,结合基础教育、职业教育、高等教育的不同特点,挖掘各门课程所蕴含的爱国主义教育元素和所承载的爱国主义教育功能,增强知识传授的道德教化功能,构建爱国主义教育与知识体系教育相统一的育人机制。大力推广和规范使用国家通用语言文字,优化爱国主义教材内容体系,推出反映爱国主义内容的高质量教辅读物。
(二)在共情上下功夫,涵育爱党爱国爱社会主义的真挚情感
爱国是人世间最深层、最持久的情感。要增强主体体验,加大情感共鸣,强化师生对中国特色社会主义道路的思想认同、情感认同、理论认同,涵养积极进取、开放包容、理性平和的心态。
3.“青春告白”行动:全方位、立体式激发爱国主义情感。长效化开展“青春告白祖国”等爱国主义教育工作,引导师生结合理论学习体悟和社会实践体验,生动真挚表达爱国主义热情。构建经常性爱国主义教育机制,把爱国主义内容融入党支部“三会一课”和党日团日、主题班会、班队会以及各类教育活动之中。针对不同年龄、学段特征,制作推介体现爱国主义内涵、适合网络传播的音频、短视频、网络文章、网络游戏、微电影等。积极运用微博微信、社交媒体、视频网站、手机客户端等传播平台,充分发挥易班、大学生在线等网络教育平台作用,着力构建校园网络新媒体传播矩阵,全方位开展网上爱国主义教育。
4.“共情共鸣”行动:多层次、全维度培育爱国主义情怀。深入挖掘和宣传国家功勋模范人物和先进典型的突出事迹,推动各类先进人物进入校园开展思想政治工作,并进一步结合课堂教学、校园文化、社会实践、网络文化等载体形成工作常态化。鼓励设立国家功勋荣誉获得者等命名的奖学金,支持大中小学校为革命烈士、国家功勋人物树立塑像、铭刻事迹等。深入开展祖国统一教育,加强宪法和基本法教育,组织港澳台学生语言文化交流活动,为港澳台师生来内地(大陆)交流、学习提供更多机会与便利,引导青少年为坚持“一国两制”和推进祖国统一而共同奋斗。以铸牢中华民族共同体意识为主线,加强民族团结进步教育,加大在优秀少数民族学生中发展党员力度,引导各族学生牢固树立“五个认同”“三个离不开”思想。
(三)在弘文上下功夫,加强爱国主义教育的氛围营造和文化浸润
爱国主义是中国民族精神的核心,以爱国主义为核心的民族精神和以改革创新为核心的时代精神,是凝心聚力的兴国之魂、强国之魂。要坚持以文化人、以文育人,传承和弘扬中华优秀传统文化、革命文化、社会主义先进文化,充分发挥校园资源、社会资源、自然资源的育人功能,不断增强民族自尊心、自信心和自豪感。
5.“固本培元”行动:挖掘和运用校园文化爱国主义教育功能。深化文明校园创建活动,挖掘校史校风校训校歌的爱国主义教育功能,深入实施“高校原创文化精品推广行动计划”,鼓励广大师生积极创作体现爱国主义精神、正确价值导向的原创校园文化精品力作。用好校园报刊广播影视等媒体,推出仪式教育系列专题专栏,面向师生广泛宣传国旗升挂、国徽佩戴、国歌奏唱礼仪,认真组织升国旗仪式、入党入团入队仪式等,强化国家意识和集体观念。加强网络舆论引导,引导学生明辨是非、分清善恶,自觉抵制损害国家荣誉的错误言行。
6.“同频共振”行动:构建爱国主义文化育人共同体。深入实施“中华经典诵读工程”“中华传统节日振兴工程”,继续建设“中华经典资源库”,办好“中国诗词大会”“中华经典诵写讲大赛”“礼敬中华优秀传统文化”“少年传承中华传统美德”“全国中小学生电影周”“新时代好少年”等活动。在重大纪念日、重大历史事件日,组织广大师生开展公祭、瞻仰纪念碑、祭扫烈士墓等纪念活动。依托自然人文景观和重大工程开展教育,组织爱国主义教育研学实践教育活动,引导广大师生投身美丽中国建设。
(四)在力行上下功夫,推动爱国精神转化为强国报国的自觉行动
爱国要体现在行动上,要引导师生把自己的理想同祖国的理想、把自己的人生同民族的命运紧密联系在一起,扎根人民,奉献国家。要搭建实践平台,开展调研考察和咨询服务,引导师生将个人的“小我”融入到祖国的“大我”、人民的“大我”之中。
7.“激情追梦”行动:促进爱国行为养成。加强校企战略合作、产教融合,通过设立实习实训基地、校外辅导员工作室等方式,充分利用国企资源,开展教学实习、技能实训、岗位体验、就业实践等。建设爱国主义实践育人基地,制定完善实践育人指导教师激励机制。深入推进学雷锋志愿服务,强化劳动精神、劳动观念教育。引领广大师生围绕“一带一路”“脱贫攻坚”等国家重大发展战略开展社会实践,在实践中坚定报国志向、锻炼本领能力。
8.“奋斗圆梦”行动:融入国家发展大局。深入开展知识分子“弘扬爱国奋斗精神、建功立业新时代”活动,在教师群体中弘扬“两弹一星”精神、载人航天精神等,发扬艰苦奋斗、永久奋斗的优良传统。推动供给侧与需求侧精准对接,向重点行业、重点地区、重点单位、重大工程、重大项目精准培养优秀毕业生,引导毕业生向先进制造业、现代服务业和现代农业等领域就业创业、建功立业。推送更多优秀高校毕业生到国际组织实习、任职,培养服务国家发展战略的全球治理人才。
三、近期重点举措
(一)迅速掀起学习宣传贯彻热潮。开展全系统贯通式专题培训,将《纲要》作为有关干部培训班重要内容,对直属高校领导干部、各类青年管理教学科研骨干、高校思想政治骨干等进行培训,依托“周末理论大讲堂”等平台对全国高校思政课教师进行培训。
(二)总结宣传推广首都教育系统国庆服务保障工作先进事迹。在深入总结首都教育系统服务保障国庆活动全国宣讲工作的基础上,汇集整理服务保障国庆活动工作中的先进事迹和典型经验并编印宣传读本,印发全体思政课教师和辅导员,进一步丰富形势政策教育资源库,使国庆活动中的精神财富转化为广大师生奋进新时代的强大动力。
(三)加大“青春告白祖国”优秀成果推广展示力度。在深入总结2019年“青春告白祖国”工作优秀成果的基础上,继续做好“小我融入大我、青春献给祖国”师生主题社会实践活动,并与有关媒体合作,制作推出专题展示节目,重点展示100个左右优秀成果。
(四)广泛开展“奋斗的我最美的国”新时代先进人物进校园工作。在做好前期启动仪式和示范活动的基础上,会同中央宣传部、国资委、全国总工会、共青团中央、全国妇联、中国科协等部门持续做好新时代先进人物进校园工作,激励广大师生崇尚先进、学习先进、争做先进,整合社会资源服务高校育人,形成校内校外育人工作联动的长效机制。
(五)创作推送展示爱国主义网络文化作品。做好“全国大学生网络文化节”和“全国高校网络教育优秀作品推选展示活动”,加大爱国主义教育、公民道德教育相关内容的网络文章、微视频、微电影等作品推选倾斜力度,积极推介体现中华文化精髓、富有爱国主义气息的网络文学、动漫、有声读物、网络游戏、手机游戏、短视频等。
(六)不断深化各类品牌活动爱国主义教育成效。继续组织好“开学第一课”“我和祖国共成长”“青年红色筑梦之旅”“少年工匠心向党”“强国一代”“圆梦蒲公英”“读懂中国”“院士回母校”“全国大中小学生艺术展演”等各级各类学生品牌活动,不断强化爱国主义教育鲜明主题,增强活动吸引力、号召力,调动学生参与的积极性、主动性。
四、组织保障
(一)加强组织领导。要强化主体责任,压紧压实意识形态工作责任制,加强宏观指导、统筹协调和督促落实。把爱国主义教育与落实立德树人根本任务,构建完善大中小学思想政治工作体系,建立不忘初心、牢记使命的制度联系起来。广大党员教师要以身作则、率先垂范,发挥模范带头作用,做爱国主义的坚定弘扬者和实践者。
(二)提高队伍能力。要建设一支由思政课教师、宣传骨干、辅导员骨干等组成的爱国主义教育队伍,加强素质能力培训。围绕破解爱国主义教育重点难点问题的路径和方法等重大理论和现实问题开展调查研究,创新工作方式方法,注重建立长效机制,把教育活动融入日常、抓在经常、落在平常。
(三)加强宣传推广。要深入挖掘报道爱国主义先进典型和优秀事迹,广泛宣传推广教育系统深入开展爱国主义教育的好经验、好做法、好成果。加强对道德领域热点问题的引导,着力增强师生的法治意识、公共意识、规则意识、责任意识,持续生动形象做好宣传。
(四)完善评价机制。要进一步优化机制,切实完善科学评价和政策保障,形成科学合理的评价激励体系。把爱国主义教育纳入学校党建工作责任制,把爱国主义教育成效作为开展相关评估评价、评审评比的政治标准和重要指标,推动任务落地落实。
有关落实情况,请及时报告教育部党组。
教育部办公厅关于学习宣传和贯彻实施
《新时代高等学校思想政治理论课教师队伍建设规定》的通知
教社科厅函〔2020〕1号
各省、自治区、直辖市党委教育工作部门、教育厅(教委),新疆生产建设兵团教育局,有关部门(单位)教育司(局),部属各高等学校、部省合建各高等学校:
《新时代高等学校思想政治理论课教师队伍建设规定》(教育部令第46号,以下简称《规定》)已经发布,自2020年3月1日起施行。为做好《规定》的学习宣传和贯彻实施工作,现将有关事项通知如下。
一、深刻认识《规定》发布实施的重要意义
思想政治理论课(以下简称思政课)是高等学校落实立德树人根本任务的关键课程,是必须按照国家要求设置的课程。思政课教师是承担高校思政课教育教学和研究职责的专兼职教师,是高校教师队伍中承担开展马克思主义理论教育、用习近平新时代中国特色社会主义思想铸魂育人的中坚力量。党的十八大以来,以习近平同志为核心的党中央高度重视思政课教师队伍建设,作出一系列重大决策部署,习近平总书记亲自主持召开学校思想政治理论课教师座谈会并发表重要讲话,中共中央办公厅、国务院办公厅印发《关于深化新时代学校思想政治理论课改革创新的若干意见》,教育部和各地各高校采取有力措施认真贯彻落实,打造可信、可敬、可靠,乐为、敢为、有为的思政课教师队伍,思政课教师队伍不断壮大。同时也要看到,面对新形势新任务新挑战,有的地方和高校对思政课教师队伍建设重视不够,思政课教师选配和培养工作存在短板,队伍建设体制机制有待完善,评价和支持体系有待健全,质量和水平有待全面提升。
《规定》是教育部第一次以部门规章的形式对高校思政课教师队伍建设作出规定。《规定》的发布实施,是深入贯彻落实习近平新时代中国特色社会主义思想和党的十九大精神,贯彻落实习近平总书记关于教育的重要论述和全国教育大会精神的重要举措,对于健全高校思政课教师队伍建设的体制机制,建设一支政治强、情怀深、思维新、视野广、自律严、人格正的思政课教师队伍,充分调动思政课教师的积极性、主动性、创造性,不断增强思政课的思想性、理论性和亲和力、针对性,深化新时代高校思政课改革创新具有十分重要的意义。
二、深入开展《规定》学习宣传活动
各地各高校要结合思政课教师队伍建设实际,精心组织《规定》精神学习宣传。要通过宣讲会、座谈会以及举办培训班、研修班等多种形式,利用网站、微博、微信、报刊等多种媒介,广泛深入地开展学习宣传。各地教育部门领导班子、高校党政领导班子、马克思主义学院等思政课教学科研机构领导班子至少安排1次党委(党组)理论学习中心组集中专题学习研讨。各地教育部门和各高校党政领导干部要以身作则、带头学习,准确把握《规定》精神,推动健全完善高校思政课教师队伍建设体制机制。高校中层党政领导干部要认真学习《规定》,深刻领会《规定》的重要意义和基本要求,落实各项任务,夯实各项保障,为高校思政课教师队伍建设提供有力支持。各地各高校要将《规定》精神学习宣传作为思政课教师队伍培养培训的重要内容,纳入年度培训计划。全体思政课教师、思政课建设管理人员、马克思主义理论学科研究生等要深入学习《规定》,全面把握《规定》精神和主要内容,准确了解《规定》对队伍建设各方面的具体规定,做学《规定》、守《规定》、用《规定》的表率。
三、全面做好《规定》贯彻实施工作
《规定》对高校思政课教师队伍的身份定位、职责与要求、配备与选聘、培养与培训、考核与评价、保障与管理等各方面提出了明确要求,各地各高校要以《规定》为依据,强化担当意识,找准短板不足,完善体制机制,将《规定》要求落实到本地本校思政课教师队伍建设的具体实践中。
各地各高校要把《规定》实施与贯彻落实习近平总书记关于教育的重要论述,特别是在学校思想政治理论课教师座谈会上的重要讲话和对高校思政课建设的重要指示批示精神结合起来,与贯彻落实中共中央办公厅、国务院办公厅印发的《关于深化新时代学校思想政治理论课改革创新的若干意见》精神结合起来,以《规定》实施为契机,狠抓高校思政课教师队伍建设,落实编制保障、岗位津贴等政策要求。各地各高校要严格落实主体责任,完善高校党委书记、校长作为思政课建设第一责任人机制,紧紧抓住考核评价这个指挥棒,将落实《规定》精神与教育评价改革结合起来,坚决克服唯文凭、唯论文、唯帽子等问题,使思政课教师专业技术职务(职称)评聘成为推进教育评价改革的典范。各地各高校要强化法治观念,依法科学有序加强思政课教师队伍建设,保障《规定》各项要求落实落细落小,建设好高校思政课教师队伍,为培养德智体美劳全面发展的社会主义建设者和接班人作出应有的贡献。
各地各高校学习宣传、贯彻实施《规定》的情况,请及时报送教育部。
教育部办公厅
2020年2月24日
教育部等八部门印发《关于加快构建高校思想政治工作体系的意见》
各省、自治区、直辖市教育厅(教委)、党委组织部、党委宣传部、党委政法委、网信办、财政厅(局)、人力资源社会保障厅(局)、团委,新疆生产建设兵团教育局、党委组织部、党委宣传部、党委政法委、网信办、财政局、人力资源社会保障局、团委,部属各高等学校、部省合建各高等学校:
为深入贯彻落实习近平新时代中国特色社会主义思想,贯彻落实党的十九大和十九届二中、三中、四中全会精神,学习贯彻习近平总书记关于教育的重要论述,加快构建高校思想政治工作体系,努力培养担当民族复兴大任的时代新人,培养德智体美劳全面发展的社会主义建设者和接班人,现提出如下意见。
一、指导思想和目标任务
1.指导思想。以习近平新时代中国特色社会主义思想为指导,全面贯彻党的教育方针,坚持和加强党的全面领导,坚持社会主义办学方向,以立德树人为根本,以理想信念教育为核心,以培育和践行社会主义核心价值观为主线,以建立完善全员、全程、全方位育人体制机制为关键,全面提升高校思想政治工作质量。
2.目标任务。健全立德树人体制机制,把立德树人融入思想道德、文化知识、社会实践教育各环节,贯通学科体系、教学体系、教材体系、管理体系,加快构建目标明确、内容完善、标准健全、运行科学、保障有力、成效显著的高校思想政治工作体系。
二、理论武装体系
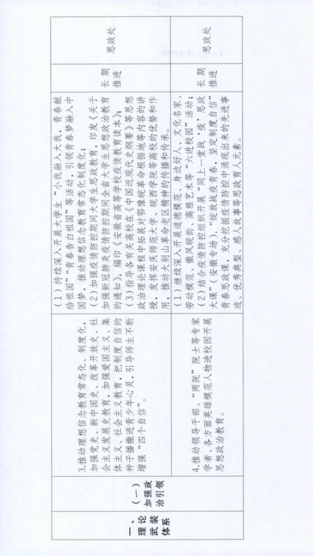
3.加强政治引领。把坚持以马克思主义为指导落实到教育教学各方面,对各种错误观点和思潮旗帜鲜明予以抵制。全面推动习近平新时代中国特色社会主义思想进教材、进课堂、进师生头脑,开展理论教育培训,编写出版理论读物,打造示范课堂,运用各种载体分群体深入开展习近平新时代中国特色社会主义思想学习研究宣传工作。推动理想信念教育常态化、制度化,加强党史、新中国史、改革开放史、社会主义发展史教育,加强爱国主义、集体主义、社会主义教育,把制度自信的种子播撒进青少年心灵,引导师生不断增强“四个自信”。推动领导干部、“两院”院士等专家学者、各方面英雄模范人物进校园开展思想政治教育。
4.厚植爱国情怀。贯彻落实《新时代爱国主义教育实施纲要》,打造推广一批富有爱国主义教育意义的文化作品,定期举行集体升国旗、唱国歌仪式,有效利用重大活动、开学典礼、毕业典礼、重大纪念日、主题党团日等契机和重点文化基础设施开展爱国主义教育。
5.强化价值引导。研究制定体现社会主义核心价值观要求的师生行为规范,组织国家勋章和国家荣誉称号获得者、最美奋斗者、改革先锋、时代楷模等新时代先进人物走进高校,面向广大师生开展思想政治教育。开展教书育人楷模、思政课教师年度人物、高校辅导员年度人物、大学生年度人物等先进典型的宣传选树。
三、学科教学体系
6.办好思想政治理论课。按照“八个相统一”要求,扎实推进思想政治理论课建设思路创优、师资创优、教材创优、教法创优、机制创优、环境创优。遴选名师大师参与思想政治理论课讲授。把新媒体新技术引入高校思想政治理论课教学,打造高校思想政治理论课资源平台和网络集体备课平台。
7.强化哲学社会科学育人作用。强化马克思主义理论学科引领作用,推出一批中国特色哲学社会科学精品力作。加强哲学社会科学教材规划编审和规范选用工作。加大哲学社会科学各学科专业中的马克思主义理论类课程建设。扎实推进哲学社会科学专业课程思政建设,文学、历史学、哲学类专业课程要帮助学生掌握马克思主义世界观和方法论,从历史与现实、理论与实践等相结合的维度深刻理解习近平新时代中国特色社会主义思想。经济学、管理学、法学类专业课程要培育学生经世济民、诚信服务、德法兼修的职业素养。教育学类专业课程要注重加强师德师风教育,引导学生树立学为人师、行为世范的职业理想。
8.全面推进所有学科课程思政建设。统筹课程思政与思政课程建设,构建全面覆盖、类型丰富、层次递进、相互支撑的课程体系。重点建设一批提高大学生思想道德修养、人文素质、科学精神和认知能力的公共基础课程。理学、工学类专业课程要注重科学思维方法的训练和科技伦理的教育,培养学生探索未知、追求真理、勇攀科学高峰的责任感和使命感,培养学生精益求精的大国工匠精神。农学类专业课程要注重培养学生的大国“三农”情怀,引导学生“懂农业、爱农村、爱农民”。医学类专业课程要注重加强医德医风教育,注重加强医者仁心教育,教育引导学生尊重患者,学会沟通,提升综合素养。艺术学类专业课程要教育引导学生树立正确的艺术观和创作观,积极弘扬中华美育精神。
9.充分发挥科研育人功能。构建集教育、预防、监督、惩治于一体的学术诚信体系。提高研究生导师开展思想政治教育意识和能力。持续开展全国科学道德和学风建设宣讲教育、“共和国的脊梁——科学大师名校宣传工程”等系列活动。
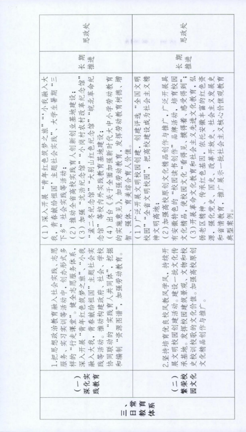
四、日常教育体系
10.深化实践教育。把思想政治教育融入社会实践、志愿服务、实习实训等活动中,创办形式多样的“行走课堂”。健全志愿服务体系,深入开展“青年红色筑梦之旅”“‘小我融入大我,青春献给祖国’主题社会实践”等活动。推动构建政府、社会、学校协同联动的“实践育人共同体”,挖掘和编制“资源图谱”,加强劳动教育。
11.繁荣校园文化。坚持培育优良校风教风学风,持续开展文明校园创建活动。建设一批文化传承基地。发挥校园建筑景观、文物和校史校训校歌的文化价值。加强高校原创文化精品创作与推广。
12.加强网络育人。提升校园新媒体网络平台的服务力、吸引力和粘合度,切实增强易班网、中国大学生在线等网络阵地的示范性、引领性和辐射度,重点建设一批高校思政类公众号,发挥新媒体平台对高校思政工作的促进作用。引导和扶持师生积极创作导向正确、内容生动、形式多样的网络文化产品。建设高校网络文化研究评价中心,推动将优秀网络文化成果纳入科研成果评价统计。各高校应按照在校生总数每生每年不低于30元的标准设立网络思政工作专项经费。
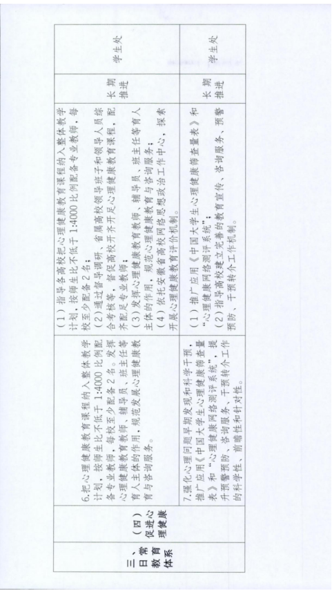
13.促进心理健康。把心理健康教育课程纳入整体教学计划,按师生比不低于1:4000比例配备专业教师,每校至少配备2名。发挥心理健康教育教师、辅导员、班主任等育人主体的作用,规范发展心理健康教育与咨询服务。强化心理问题早期发现和科学干预,推广应用《中国大学生心理健康筛查量表》和“心理健康网络测评系统”,提升预警预防、咨询服务、干预转介工作的科学性、前瞻性和针对性。
五、管理服务体系
14.提高管理服务水平。健全管理服务育人制度体系,宣传推广一批管理服务育人的先进经验和典型做法,大力营造治理有方、管理到位、风清气正的制度育人环境。
15.加强群团组织建设。增强工会、共青团、妇联等群团组织的政治性、先进性、群众性。推动学生会(研究生会)改革,强化党的领导,健全骨干遴选程序。加强学生社团建设管理,着力构建党委统一领导、团委具体管理的工作机制,配齐配强指导教师,突出分类指导,支持有序发展。
16.推动“一站式”学生社区建设。依托书院、宿舍等学生生活园区,探索学生组织形式、管理模式、服务机制改革,推进党团组织、管理部门、服务单位等进驻园区开展工作,把校院领导力量、管理力量、服务力量、思政力量压到教育管理服务学生一线,将园区打造成为集学生思想教育、师生交流、文化活动、生活服务于一体的教育生活园地。
17.完善精准资助育人。精准认定家庭经济困难学生,健全四级资助认定工作机制,完善档案、动态管理。建设发展型资助体系,加大家庭经济困难学生能力素养培育力度。
六、安全稳定体系
18.强化高校政治安全。认真落实意识形态工作责任制,加强高校思想文化阵地管理,严格实行审批制度。坚决抵御境外利用宗教渗透,防范校园传教活动。
19.加强国家安全教育。持续推动国家安全教育进学校、进教材、进头脑,把集中教育活动与日常教育活动、课堂教育教学与社会实践相结合。建立健全国家安全教育长效机制,不断充实教育内容,完善教学体系。
20.筑牢校园安全防线。切实保护学生生命安全、财产安全、身体健康,严格落实安全防范工作规范要求,强化安全基础建设,完善校园及周边治安综合治理机制。
21.健全安全责任体系。落实高校安全管理主体责任,完善相应协调和会商机制,落实“一岗双责”。完善预警预防、综合研判、应急处置、督查报告、责任追究等工作制度。
七、队伍建设体系
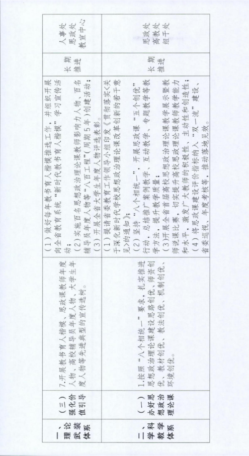
22.建设高水平教师队伍。按照“四有”好老师要求,落实政治理论学习、培训轮训、实践锻炼等制度。完善教师评聘考核办法,把师德师风作为评价教师队伍素质第一标准。实施课程思政教师专题培训计划。充分发挥院士、国家“万人计划”哲学社会科学领军人才、文化名家暨“四个一批人才”、“长江学者”、“杰青”、国家级教学名师等示范带头作用。构建全校齐抓教师思想政治素质的工作体系,组织开展宣传师德典型、深化学术诚信教育,加强对海外归国和青年教师的思想引导。落实《新时代高校教师职业行为十项准则》,严格实行师德“一票否决制”,加大对失德教师的惩戒力度,推动师德建设常态化长效化。
23.打造高素质思想政治工作和党务工作队伍。严格落实中央关于高校思想政治工作和党务工作队伍配备的各项指标性要求。完善高校专职辅导员职业发展体系,建立职级、职称“双线”晋升办法,学校应当结合实际情况为专职辅导员专设一定比例的正高级专业技术岗位。参照校内管理岗位比例,依据国家有关规定,建立完善高校专职辅导员管理岗位(职员等级)晋升制度。对长期从事辅导员工作、表现优秀的,按照国家有关规定给予奖励。各高校要切实履行辅导员选聘工作的主体责任,按照专兼结合、以专为主的原则加强辅导员选配工作。各地有关部门要积极支持并督导各高校严格落实专职辅导员人事管理政策,按规定签订聘用合同,不得用劳务派遣、人事代理等方式聘用辅导员。鼓励选聘各级党政机关、科研院所、军队、企事业单位党员领导干部、专家学者等担任校外辅导员。完善兼职辅导员和校外辅导员培训、管理、考核制度。持续提升思想政治工作和党务工作队伍素质能力和专业水平,实施思想政治工作中青年骨干队伍建设项目,组织开展国家示范培训、海内外访学研修、在职攻读硕士博士学位等专项计划。各地要因地制宜设置思政课教师和辅导员岗位津贴,纳入绩效工资管理,相应核增学校绩效工资总量。各高校应按照在校生总数每生每年不低于20元的标准设立思想政治工作和党务工作队伍建设专项经费。
24.加大马克思主义学者和青年马克思主义者培养力度。加强马克思主义学院和马克思主义理论学科建设,加快培养一批立场坚定、功底扎实、经验丰富的马克思主义学者,特别是培养一大批青年马克思主义者。深入实施“高校思想政治理论课教师队伍后备人才培养专项支持计划”。组织实施青年马克思主义者培养工程,加强集中教育培训和后续跟踪培养。
八、评估督导体系
25.构建科学测评体系。建立多元多层、科学有效的高校思政工作测评指标体系,完善过程评价和结果评价相结合的实施机制,推动把高校党建和思想政治工作作为“双一流”建设成效评估、学科专业质量评价、人才项目评审、教学科研成果评比的重要指标,并纳入政治巡视、地方和高校领导班子考核、领导干部述职评议的重要内容。
26.完善推进落实机制。明确责任分工,细化实施方案,及时研究解决重点问题。将高校思想政治工作纳入整体发展规划和年度工作计划,明确路线图、时间表、责任人。
27.健全督导问责机制。强化高校思想政治工作督导考核,对履职尽责不力、不及时的,加大追责力度。实行校、院系、基层党组织书记抓党建和思想政治工作述职评议考核制度,纳入党纪监督检查范围。
九、组织领导和实施保障
28.加强党的全面领导。要把高校思想政治工作摆到重要位置,切实加强组织领导和工作指导。各高校党委要全面统筹各领域、各环节、各方面的资源和力量,力戒形式主义、官僚主义,加强体制机制、项目布局、队伍建设、条件保障等方面的系统设计,定期分析高校思想政治领域情况,研究解决重大问题,协调推进重点任务落实,党委主要负责同志落实领导责任,分管领导落实直接责任。党委书记是思想政治工作第一责任人,校长和其他班子成员履行“党政同责、一岗双责”。高校领导班子成员要主动进课堂、进班级、进宿舍、进食堂、进社团、进讲座、进网络,深入一线联系学生。
29.加强基层党的建设。强化院系党组织政治功能,加强班子建设、健全集体领导机制、提高议事决策水平。发挥党支部战斗堡垒和党员先锋模范作用,优化支部设置,实施教师党支部书记“双带头人”培育工程,建强党支部书记队伍。严格党的组织生活各项制度,着重加强教师党支部和学生党支部建设、发展党员和党员教育管理工作。加强教师党支部与学生党支部共建,鼓励校企、校地党支部共同开展组织生活。落实党建带团建制度,做好推优入党工作。
30.强化工作协同保障。推动形成学校、家庭和社会教育协同育人机制。发挥高校思想政治工作委员会的专家咨询作用,加大高校思想政治工作创新发展中心、思想政治工作队伍培训研修中心、省级高校网络思想政治工作中心建设力度。做好高校思想政治工作专项资金使用管理,引导地方和高校增加投入,强化经费投入的育人导向。
教育部关于印发《高等学校课程思政建设
指导纲要》的通知
教高〔2020〕3号
各省、自治区、直辖市教育厅(教委),新疆生产建设兵团教育局,有关部门(单位)教育司(局),部属各高等学校、部省合建各高等学校:
《高等学校课程思政建设指导纲要》已经教育部党组会议审议通过,现印发给你们,请结合实际认真贯彻执行。
教育部
2020年5月28日
高等学校课程思政建设指导纲要
为深入贯彻落实习近平总书记关于教育的重要论述和全国教育大会精神,贯彻落实中共中央办公厅、国务院办公厅《关于深化新时代学校思想政治理论课改革创新的若干意见》,把思想政治教育贯穿人才培养体系,全面推进高校课程思政建设,发挥好每门课程的育人作用,提高高校人才培养质量,特制定本纲要。
一、全面推进课程思政建设是落实立德树人根本任务的战略举措
培养什么人、怎样培养人、为谁培养人是教育的根本问题,立德树人成效是检验高校一切工作的根本标准。落实立德树人根本任务,必须将价值塑造、知识传授和能力培养三者融为一体、不可割裂。全面推进课程思政建设,就是要寓价值观引导于知识传授和能力培养之中,帮助学生塑造正确的世界观、人生观、价值观,这是人才培养的应有之义,更是必备内容。这一战略举措,影响甚至决定着接班人问题,影响甚至决定着国家长治久安,影响甚至决定着民族复兴和国家崛起。要紧紧抓住教师队伍“主力军”、课程建设“主战场”、课堂教学“主渠道”,让所有高校、所有教师、所有课程都承担好育人责任,守好一段渠、种好责任田,使各类课程与思政课程同向同行,将显性教育和隐性教育相统一,形成协同效应,构建全员全程全方位育人大格局。
二、课程思政建设是全面提高人才培养质量的重要任务
高等学校人才培养是育人和育才相统一的过程。建设高水平人才培养体系,必须将思想政治工作体系贯通其中,必须抓好课程思政建设,解决好专业教育和思政教育“两张皮”问题。要牢固确立人才培养的中心地位,围绕构建高水平人才培养体系,不断完善课程思政工作体系、教学体系和内容体系。高校主要负责同志要直接抓人才培养工作,统筹做好各学科专业、各类课程的课程思政建设。要紧紧围绕国家和区域发展需求,结合学校发展定位和人才培养目标,构建全面覆盖、类型丰富、层次递进、相互支撑的课程思政体系。要切实把教育教学作为最基础最根本的工作,深入挖掘各类课程和教学方式中蕴含的思想政治教育资源,让学生通过学习,掌握事物发展规律,通晓天下道理,丰富学识,增长见识,塑造品格,努力成为德智体美劳全面发展的社会主义建设者和接班人。
三、明确课程思政建设目标要求和内容重点
课程思政建设工作要围绕全面提高人才培养能力这个核心点,在全国所有高校、所有学科专业全面推进,促使课程思政的理念形成广泛共识,广大教师开展课程思政建设的意识和能力全面提升,协同推进课程思政建设的体制机制基本健全,高校立德树人成效进一步提高。
课程思政建设内容要紧紧围绕坚定学生理想信念,以爱党、爱国、爱社会主义、爱人民、爱集体为主线,围绕政治认同、家国情怀、文化素养、宪法法治意识、道德修养等重点优化课程思政内容供给,系统进行中国特色社会主义和中国梦教育、社会主义核心价值观教育、法治教育、劳动教育、心理健康教育、中华优秀传统文化教育。
——推进习近平新时代中国特色社会主义思想进教材进课堂进头脑。坚持不懈用习近平新时代中国特色社会主义思想铸魂育人,引导学生了解世情国情党情民情,增强对党的创新理论的政治认同、思想认同、情感认同,坚定中国特色社会主义道路自信、理论自信、制度自信、文化自信。
——培育和践行社会主义核心价值观。教育引导学生把国家、社会、公民的价值要求融为一体,提高个人的爱国、敬业、诚信、友善修养,自觉把小我融入大我,不断追求国家的富强、民主、文明、和谐和社会的自由、平等、公正、法治,将社会主义核心价值观内化为精神追求、外化为自觉行动。
——加强中华优秀传统文化教育。大力弘扬以爱国主义为核心的民族精神和以改革创新为核心的时代精神,教育引导学生深刻理解中华优秀传统文化中讲仁爱、重民本、守诚信、崇正义、尚和合、求大同的思想精华和时代价值,教育引导学生传承中华文脉,富有中国心、饱含中国情、充满中国味。
——深入开展宪法法治教育。教育引导学生学思践悟习近平全面依法治国新理念新思想新战略,牢固树立法治观念,坚定走中国特色社会主义法治道路的理想和信念,深化对法治理念、法治原则、重要法律概念的认知,提高运用法治思维和法治方式维护自身权利、参与社会公共事务、化解矛盾纠纷的意识和能力。
——深化职业理想和职业道德教育。教育引导学生深刻理解并自觉实践各行业的职业精神和职业规范,增强职业责任感,培养遵纪守法、爱岗敬业、无私奉献、诚实守信、公道办事、开拓创新的职业品格和行为习惯。
四、科学设计课程思政教学体系
高校要有针对性地修订人才培养方案,切实落实高等职业学校专业教学标准、本科专业类教学质量国家标准和一级学科、专业学位类别(领域)博士硕士学位基本要求,构建科学合理的课程思政教学体系。要坚持学生中心、产出导向、持续改进,不断提升学生的课程学习体验、学习效果,坚决防止“贴标签”“两张皮”。
公共基础课程。要重点建设一批提高大学生思想道德修养、人文素质、科学精神、宪法法治意识、国家安全意识和认知能力的课程,注重在潜移默化中坚定学生理想信念、厚植爱国主义情怀、加强品德修养、增长知识见识、培养奋斗精神,提升学生综合素质。打造一批有特色的体育、美育类课程,帮助学生在体育锻炼中享受乐趣、增强体质、健全人格、锤炼意志,在美育教学中提升审美素养、陶冶情操、温润心灵、激发创造创新活力。
专业教育课程。要根据不同学科专业的特色和优势,深入研究不同专业的育人目标,深度挖掘提炼专业知识体系中所蕴含的思想价值和精神内涵,科学合理拓展专业课程的广度、深度和温度,从课程所涉专业、行业、国家、国际、文化、历史等角度,增加课程的知识性、人文性,提升引领性、时代性和开放性。
实践类课程。专业实验实践课程,要注重学思结合、知行统一,增强学生勇于探索的创新精神、善于解决问题的实践能力。创新创业教育课程,要注重让学生“敢闯会创”,在亲身参与中增强创新精神、创造意识和创业能力。社会实践类课程,要注重教育和引导学生弘扬劳动精神,将“读万卷书”与“行万里路”相结合,扎根中国大地了解国情民情,在实践中增长智慧才干,在艰苦奋斗中锤炼意志品质。
五、结合专业特点分类推进课程思政建设
专业课程是课程思政建设的基本载体。要深入梳理专业课教学内容,结合不同课程特点、思维方法和价值理念,深入挖掘课程思政元素,有机融入课程教学,达到润物无声的育人效果。
——文学、历史学、哲学类专业课程。要在课程教学中帮助学生掌握马克思主义世界观和方法论,从历史与现实、理论与实践等维度深刻理解习近平新时代中国特色社会主义思想。要结合专业知识教育引导学生深刻理解社会主义核心价值观,自觉弘扬中华优秀传统文化、革命文化、社会主义先进文化。
——经济学、管理学、法学类专业课程。要在课程教学中坚持以马克思主义为指导,加快构建中国特色哲学社会科学学科体系、学术体系、话语体系。要帮助学生了解相关专业和行业领域的国家战略、法律法规和相关政策,引导学生深入社会实践、关注现实问题,培育学生经世济民、诚信服务、德法兼修的职业素养。
——教育学类专业课程。要在课程教学中注重加强师德师风教育,突出课堂育德、典型树德、规则立德,引导学生树立学为人师、行为世范的职业理想,培育爱国守法、规范从教的职业操守,培养学生传道情怀、授业底蕴、解惑能力,把对家国的爱、对教育的爱、对学生的爱融为一体,自觉以德立身、以德立学、以德施教,争做有理想信念、有道德情操、有扎实学识、有仁爱之心的“四有”好老师,坚定不移走中国特色社会主义教育发展道路。体育类课程要树立健康第一的教育理念,注重爱国主义教育和传统文化教育,培养学生顽强拼搏、奋斗有我的信念,激发学生提升全民族身体素质的责任感。
——理学、工学类专业课程。要在课程教学中把马克思主义立场观点方法的教育与科学精神的培养结合起来,提高学生正确认识问题、分析问题和解决问题的能力。理学类专业课程,要注重科学思维方法的训练和科学伦理的教育,培养学生探索未知、追求真理、勇攀科学高峰的责任感和使命感。工学类专业课程,要注重强化学生工程伦理教育,培养学生精益求精的大国工匠精神,激发学生科技报国的家国情怀和使命担当。
——农学类专业课程。要在课程教学中加强生态文明教育,引导学生树立和践行绿水青山就是金山银山的理念。要注重培养学生的“大国三农”情怀,引导学生以强农兴农为己任,“懂农业、爱农村、爱农民”,树立把论文写在祖国大地上的意识和信念,增强学生服务农业农村现代化、服务乡村全面振兴的使命感和责任感,培养知农爱农创新人才。
——医学类专业课程。要在课程教学中注重加强医德医风教育,着力培养学生“敬佑生命、救死扶伤、甘于奉献、大爱无疆”的医者精神,注重加强医者仁心教育,在培养精湛医术的同时,教育引导学生始终把人民群众生命安全和身体健康放在首位,尊重患者,善于沟通,提升综合素养和人文修养,提升依法应对重大突发公共卫生事件能力,做党和人民信赖的好医生。
——艺术学类专业课程。要在课程教学中教育引导学生立足时代、扎根人民、深入生活,树立正确的艺术观和创作观。要坚持以美育人、以美化人,积极弘扬中华美育精神,引导学生自觉传承和弘扬中华优秀传统文化,全面提高学生的审美和人文素养,增强文化自信。
高等职业学校要结合高职专业分类和课程设置情况,落实好分类推进相关要求。
六、将课程思政融入课堂教学建设全过程
高校课程思政要融入课堂教学建设,作为课程设置、教学大纲核准和教案评价的重要内容,落实到课程目标设计、教学大纲修订、教材编审选用、教案课件编写各方面,贯穿于课堂授课、教学研讨、实验实训、作业论文各环节。要讲好用好马工程重点教材,推进教材内容进人才培养方案、进教案课件、进考试。要创新课堂教学模式,推进现代信息技术在课程思政教学中的应用,激发学生学习兴趣,引导学生深入思考。要健全高校课堂教学管理体系,改进课堂教学过程管理,提高课程思政内涵融入课堂教学的水平。要综合运用第一课堂和第二课堂,组织开展“中国政法实务大讲堂”“新闻实务大讲堂”等系列讲堂,深入开展“青年红色筑梦之旅”“百万师生大实践”等社会实践、志愿服务、实习实训活动,不断拓展课程思政建设方法和途径。
七、提升教师课程思政建设的意识和能力
全面推进课程思政建设,教师是关键。要推动广大教师进一步强化育人意识,找准育人角度,提升育人能力,确保课程思政建设落地落实、见功见效。要加强教师课程思政能力建设,建立健全优质资源共享机制,支持各地各高校搭建课程思政建设交流平台,分区域、分学科专业领域开展经常性的典型经验交流、现场教学观摩、教师教学培训等活动,充分利用现代信息技术手段,促进优质资源在各区域、层次、类型的高校间共享共用。依托高校教师网络培训中心、教师教学发展中心等,深入开展马克思主义政治经济学、马克思主义新闻观、中国特色社会主义法治理论、法律职业伦理、工程伦理、医学人文教育等专题培训。支持高校将课程思政纳入教师岗前培训、在岗培训和师德师风、教学能力专题培训等。充分发挥教研室、教学团队、课程组等基层教学组织作用,建立课程思政集体教研制度。鼓励支持思政课教师与专业课教师合作教学教研,鼓励支持院士、“长江学者”、“杰青”、国家级教学名师等带头开展课程思政建设。
加强课程思政建设重点、难点、前瞻性问题的研究,在教育部哲学社会科学研究项目中积极支持课程思政类研究选题。充分发挥高校课程思政教学研究中心、思想政治工作创新发展中心、马克思主义学院和相关学科专业教学组织的作用,构建多层次课程思政建设研究体系。
八、建立健全课程思政建设质量评价体系和激励机制
人才培养效果是课程思政建设评价的首要标准。建立健全多维度的课程思政建设成效考核评价体系和监督检查机制,在各类考核评估评价工作和深化高校教育教学改革中落细落实。充分发挥各级各类教学指导委员会、学科评议组、专业学位教育指导委员会、行业职业教育教学指导委员会等专家组织作用,研究制订科学多元的课程思政评价标准。把课程思政建设成效作为“双一流”建设监测与成效评价、学科评估、本科教学评估、一流专业和一流课程建设、专业认证、“双高计划”评价、高校或院系教学绩效考核等的重要内容。把教师参与课程思政建设情况和教学效果作为教师考核评价、岗位聘用、评优奖励、选拔培训的重要内容。在教学成果奖、教材奖等各类成果的表彰奖励工作中,突出课程思政要求,加大对课程思政建设优秀成果的支持力度。
九、加强课程思政建设组织实施和条件保障
课程思政建设是一项系统工程,各地各高校要高度重视,加强顶层设计,全面规划,循序渐进,以点带面,不断提高教学效果。要尊重教育教学规律和人才培养规律,适应不同高校、不同专业、不同课程的特点,强化分类指导,确定统一性和差异性要求。要充分发挥教师的主体作用,切实提高每一位教师参与课程思政建设的积极性和主动性。
加强组织领导。教育部成立课程思政建设工作协调小组,统筹研究重大政策,指导地方、高校开展工作;组建高校课程思政建设专家咨询委员会,提供专家咨询意见。各地教育部门和高校要切实加强对课程思政建设的领导,结合实际研究制定各地、各校课程思政建设工作方案,健全工作机制,强化督查检查。各高校要建立党委统一领导、党政齐抓共管、教务部门牵头抓总、相关部门联动、院系落实推进、自身特色鲜明的课程思政建设工作格局。
加强支持保障。各地教育部门要加强政策协调配套,统筹地方财政高等教育资金和中央支持地方高校改革发展资金,支持高校推进课程思政建设。中央部门所属高校要统筹利用中央高校教育教学改革专项等中央高校预算拨款和其他各类资源,结合学校实际,支持课程思政建设工作。地方高校要根据自身建设计划,统筹各类资源,加大对课程思政建设的投入力度。
加强示范引领。面向不同层次高校、不同学科专业、不同类型课程,持续深入抓典型、树标杆、推经验,形成规模、形成范式、形成体系。教育部选树一批课程思政建设先行校、一批课程思政教学名师和团队,推出一批课程思政示范课程、建设一批课程思政教学研究示范中心,设立一批课程思政建设研究项目,推动建设国家、省级、高校多层次示范体系,大力推广课程思政建设先进经验和做法,全面形成广泛开展课程思政建设的良好氛围,全面提高人才培养质量。













教育部等六部门关于加强新时代高校
教师队伍建设改革的指导意见
教师〔2020〕10号
各省、自治区、直辖市教育厅(教委)、党委组织部、党委宣传部、财政厅(局)、人力资源社会保障厅(局)、住房和城乡建设厅(委、管委),新疆生产建设兵团教育局、党委组织部、党委宣传部、财政局、人力资源社会保障局、住房和城乡建设局,有关部门(单位)教育司(局),部属各高等学校、部省合建各高等学校:
为全面贯彻习近平总书记关于教育的重要论述和全国教育大会精神,深入落实中共中央、国务院印发的《关于全面深化新时代教师队伍建设改革的意见》和《深化新时代教育评价改革总体方案》,加强新时代高校教师队伍建设改革,现提出如下指导意见。
一、准确把握高校教师队伍建设改革的时代要求,落实立德树人根本任务
1.指导思想。以习近平新时代中国特色社会主义思想为指导,落实立德树人根本任务,聚焦高校内涵式发展,以强化高校教师思想政治素质和师德师风建设为首要任务,以提高教师专业素质能力为关键,以推进人事制度改革为突破口,遵循教育规律和教师成长发展规律,为提高人才培养质量、增强科研创新能力、服务国家经济社会发展提供坚强的师资保障。
2.目标任务。通过一系列改革举措,高校教师发展支持体系更加健全,管理评价制度更加科学,待遇保障机制更加完善,教师队伍治理体系和治理能力实现现代化。高校教师职业吸引力明显增强,教师思想政治素质、业务能力、育人水平、创新能力得到显著提升,建设一支政治素质过硬、业务能力精湛、育人水平高超的高素质专业化创新型高校教师队伍。
二、全面加强党的领导,不断提升教师思想政治素质和师德素养
3.加强思想政治引领。引导广大教师坚持“四个相统一”,争做“四有”好老师,当好“四个引路人”,增强“四个意识”、坚定“四个自信”、做到“两个维护”。强化党对高校的政治领导,增强高校党组织政治功能,加强党员教育管理监督,发挥基层党组织和党员教师作用。重视做好在优秀青年教师、留学归国教师中发展党员工作。完善教师思想政治工作组织管理体系,充分发挥高校党委教师工作部在教师思想政治工作和师德师风建设中的统筹作用。健全教师理论学习制度,全面提升教师思想政治素质和育德育人能力。加强民办高校思想政治建设,配齐建强民办高校思想政治工作队伍。
4.培育弘扬高尚师德。常态化推进师德培育涵养,将各类师德规范纳入新教师岗前培训和在职教师全员培训必修内容。创新师德教育方式,通过榜样引领、情景体验、实践教育、师生互动等形式,激发教师涵养师德的内生动力。强化高校教师“四史”教育,规范学时要求,在一定周期内做到全员全覆盖。建好师德基地,构建师德教育课程体系。加大教师表彰力度,健全教师荣誉制度,高校可举办教师入职、荣休仪式,设立以教书育人为导向的奖励,激励教师潜心育人。鼓励社会组织和个人出资奖励教师。支持地方和高校建立优秀教师库,挖掘典型,强化宣传感召。持续推出主题鲜明、展现教师时代风貌的影视文学作品。
5.强化师德考评落实。将师德师风作为教师招聘引进、职称评审、岗位聘用、导师遴选、评优奖励、聘期考核、项目申报等的首要要求和第一标准,严格师德考核,注重运用师德考核结果。高校新入职教师岗前须接受师德师风专题培训,达到一定学时、考核合格方可取得高等学校教师资格并上岗任教。切实落实主体责任,将师德师风建设情况作为高校领导班子年度考核的重要内容。落实《新时代高校教师职业行为十项准则》,依法依规严肃查处师德失范问题。建立健全师德违规通报曝光机制,起到警示震慑作用。依托政法机关建立的全国性侵违法犯罪信息库等,建立教育行业从业限制制度。
三、建设高校教师发展平台,着力提升教师专业素质能力
6.健全高校教师发展制度。高校要健全教师发展体系,完善教师发展培训制度、保障制度、激励制度和督导制度,营造有利于教师可持续发展的良性环境。积极应对新科技对人才培养的挑战,提升教师运用信息技术改进教学的能力。鼓励支持高校教师进行国内外访学研修,参与国际交流合作。继续实施高校青年教师示范性培训项目、高职教师教学创新团队建设项目。探索教师培训学分管理,将培训学分纳入教师考核内容。
7.夯实高校教师发展支持服务体系。统筹教师研修、职业发展咨询、教育教学指导、学术发展、学习资源服务等职责,建实建强教师发展中心等平台,健全教师发展组织体系。高校要加强教师发展工作和人员专业化建设,加大教师发展的人员、资金、场地等资源投入,推动建设各级示范性教师发展中心。鼓励高校与大中型企事业单位共建教师培养培训基地,支持高校专业教师与行业企业人才队伍交流融合,提升教师实践能力和创新能力。发挥教学名师和教学成果奖的示范带动作用。
四、完善现代高校教师管理制度,激发教师队伍创新活力
8.完善高校教师聘用机制。充分落实高校用人自主权,政府各有关部门不统一组织高校人员聘用考试,简化进人程序。高校根据国家有关规定和办学实际需要,自主制定教师聘用条件,自主公开招聘教师。不得将毕业院校、出国(境)学习经历、学习方式和论文、专利等作为限制性条件。严把高校教师选拔聘用入口关,将思想政治素质和业务能力双重考察落到实处。建立新教师岗前培训与高校教师资格相衔接的制度。拓宽选人用人渠道,加大从国内外行业企业、专业组织等吸引优秀人才力度。按要求配齐配优建强高校思政课教师队伍和辅导员队伍。探索将行业企业从业经历、社会实践经历作为聘用职业院校专业课教师的重要条件。研究出台外籍教师聘任和管理办法,规范外籍教师管理。
9.加快高校教师编制岗位管理改革。积极探索实行高校人员总量管理。高校依法采取多元化聘用方式自主灵活用人,统筹用好编制资源,优先保障教学科研需求,向重点学科、特色学科和重要管理岗位倾斜。合理设置教职员岗位结构比例,加强职员队伍建设。深入推进岗位聘用改革,实施岗位聘期制管理,进一步探索准聘与长聘相结合等管理方式,落实和完善能上能下、能进能出的聘用机制。
10.强化高校教师教育教学管理。完善教学质量评价制度,多维度考评教学规范、教学运行、课堂教学效果、教学改革与研究、教学获奖等教学工作实绩。强化教学业绩和教书育人实效在绩效分配、职务职称评聘、岗位晋级考核中的比重,把承担一定量的本(专)科教学工作作为教师职称晋升的必要条件。将教授为本专科生上课作为基本制度,高校应明确教授承担本专科生教学最低课时要求,对未达到要求的给予年度或聘期考核不合格处理。
11.推进高校教师职称制度改革。研究出台高校教师职称制度改革的指导意见,将职称评审权直接下放至高校,由高校自主评审、按岗聘任。完善教师职称评审标准,根据不同学科、不同岗位特点,分类设置评价指标,确定评审办法。不把出国(境)学习经历、专利数量和对论文的索引、收录、引用等指标要求作为限制性条件。完善同行专家评价机制,推行代表性成果评价。对承担国防和关键核心技术攻关任务的教师,探索引入贡献评价机制。完善职称评审程序,持续做好高校教师职称评审监管。
12.深化高校教师考核评价制度改革。突出质量导向,注重凭能力、实绩和贡献评价教师,坚决扭转轻教学、轻育人等倾向,克服唯论文、唯帽子、唯职称、唯学历、唯奖项等弊病。规范高等学校SCI等论文相关指标使用,避免SCI、SSCI、A&HCI、CSSCI等引文数据使用中的绝对化,坚决摒弃“以刊评文”,破除论文“SCI至上”。合理设置考核评价周期,探索长周期评价。注重个体评价与团队评价相结合。建立考核评价结果分级反馈机制。建立院校评估、本科教学评估、学科评估和教师评价政策联动机制,优化、调整制约和影响教师考核评价政策落实的评价指标。
13.建立健全教师兼职和兼职教师管理制度。高校教师在履行校内岗位职责、不影响本职工作的前提下,经学校同意,可在校外兼职从事与本人学科密切相关、并能发挥其专业能力的工作。地方和高校应建立健全教师兼职管理制度,规范教师合理兼职,坚决惩治教师兼职乱象。鼓励高校聘请校外专家学者等担任兼职教师,完善兼职教师管理办法,规范遴选聘用程序,明确兼职教师的标准、责任、权利和工作要求,确保兼职教师具有较高的师德素养、业务能力和育人水平。
五、切实保障高校教师待遇,吸引稳定一流人才从教
14.推进高校薪酬制度改革。落实以增加知识价值为导向的收入分配政策,扩大高校工资分配自主权,探索建立符合高校特点的薪酬制度。探索建立高校薪酬水平调查比较制度,健全完善高校工资水平决定和正常增长机制,在保障基本工资水平正常调整的基础上,合理确定高校教师工资收入水平,并向高层次人才密集、承担教学科研任务较重的高校加大倾斜力度。高校教师依法取得的职务科技成果转化现金奖励计入当年本单位绩效工资总量,但不受总量限制,不纳入总量基数。落实高层次人才工资收入分配激励、兼职兼薪和离岗创业等政策规定。鼓励高校设立由第三方出资的讲席教授岗位。
15.完善高校内部收入分配激励机制。落实高校内部分配自主权,高校要结合实际健全内部收入分配机制,完善绩效考核办法,向扎根教学一线、业绩突出的教师倾斜,向承担急难险重任务、作出突出贡献的教师倾斜,向从事基础前沿研究、国防科技等领域的教师倾斜。把参与教研活动,编写教材案例,承担命题监考任务,指导学生毕业设计、就业、创新创业、社会实践、学生社团、竞赛展演等情况计入工作量。激励优秀教师承担继续教育的教学工作,将相关工作量纳入绩效考核体系。不将论文数、专利数、项目数、课题经费等科研量化指标与绩效工资分配、奖励直接挂钩,切实发挥收入分配政策的激励导向作用。
六、优化完善人才管理服务体系,培养造就一批高层次创新人才
16.优化人才引育体系。强化服务国家战略导向,加强人才体系顶层设计,发挥好国家重大人才工程的引领作用,着力打造高水平创新团队,培养一批具有国际影响力的科学家、学科领军人才和青年学术英才。规范人才引进,严把政治关、师德关,做到“凡引必审”。加强高校哲学社会科学人才和高端智库建设,汇聚培养一批哲学社会科学名师。坚持正确的人才流动导向,鼓励高校建立行业自律机制和人才流动协商沟通机制,发挥高校人才工作联盟作用。坚决杜绝违规引进人才,未经人才计划主管部门同意,在支持周期内离开相关单位和岗位的,取消人才称号及相应支持。
17.科学合理使用人才。充分发挥好人才战略资源作用,坚持正确的人才使用导向,分类推进人才评价机制改革,推动各类人才“帽子”、人才称号回归荣誉、回归学术的本质,避免同类人才计划重复支持,以岗择人、按岗定酬,不把人才称号作为承担科研项目、职称评聘、评优评奖、学位点申报的限制性条件。营造鼓励创新、宽容失败的学术环境,为人才开展研究留出足够的探索时间和试错空间。严格人才聘后管理,强化对合同履行和作用发挥情况的考核。加强对人才的关怀和服务,切实解决他们工作生活中的实际困难。
七、全力支持青年教师成长,培育高等教育事业生力军
18.强化青年教师培养支持。鼓励高校扩大博士后招收培养数量,将博士后人员作为补充师资的重要来源。建立青年教师多元补充机制,大力吸引出国留学人员和外籍优秀青年人才。鼓励青年教师到企事业单位挂职锻炼和到国内外高水平大学、科研院所访学。鼓励高校对优秀青年人才破格晋升、大胆使用。根据学科特点确定青年教师评价考核周期,鼓励大胆创新、持续研究。高校青年教师晋升高一级职称,至少须有一年担任辅导员、班主任等学生工作经历,或支教、扶贫、参加孔子学院及国际组织援外交流等工作经历。
19.解决青年教师后顾之忧。地方和高校要加强统筹协调,对符合公租房保障条件的,按政策规定予以保障,同时,通过发展租赁住房、盘活挖掘校内存量资源、发放补助等多种方式,切实解决青年教师的住房困难。鼓励采取多种办法提高青年教师待遇,确保青年教师将精力放在教学科研上。鼓励高校与社会力量、政府合作举办幼儿园和中小学,解决青年教师子女入托入学问题。重视青年教师身心健康,关心关爱青年教师。
八、强化工作保障,确保各项政策举措落地见效
20.健全组织保障体系。将建设高素质教师队伍作为高校建设的基础性工作,强化学校主体责任,健全党委统一领导、统筹协调,教师工作、组织、宣传、人事、教务、科研等部门各负其责、协同配合的工作机制。建立领导干部联系教师制度,定期听取教师意见和建议。落实教职工代表大会制度,依法保障教师知情权、参与权、表达权和监督权。加强民办高校教师队伍建设,依法保障民办高校教师与公办高校教师同等法律地位和同等权利。强化督导考核,把加强教师队伍建设工作纳入高校巡视、“双一流”建设、教学科研评估范围,作为各级党组织和党员干部工作考核的重要内容。加强优秀教师和工作典型宣传,维护教师合法权益,营造关心支持教师发展的社会环境,形成全社会尊师重教的良好氛围。
教育部 中央组织部 中央宣传部
财政部 人力资源社会保障部 住房和城乡建设部
2020年12月24日
教育部办公厅关于在思政课中加强
以党史教育为重点的“四史”教育的通知
教社科厅函〔2021〕8号
各省、自治区、直辖市教育厅(教委),新疆生产建设兵团教育局,部属各高等学校、部省合建各高等学校:
为深入贯彻落实习近平总书记关于深化思想政治理论课改革创新和加强“四史”教育的重要指示批示精神,全面落实习近平总书记在党史学习教育动员大会上的重要讲话精神和《中共中央关于在全党开展党史学习教育的通知》的部署安排,在大中小学思政课中开展以党史教育为重点的“四史”教育,以优异成绩庆祝中国共产党成立100周年,现将有关工作通知如下。
一、深刻认识开展以党史教育为重点的“四史”教育的重大意义
今年是中国共产党成立100周年,开展党史教育是以习近平同志为核心的党中央作出的重大决策。习近平总书记在党史学习教育动员大会上的讲话中强调,要在全社会广泛开展党史、新中国史、改革开放史、社会主义发展史宣传教育,要抓好青少年学习教育,厚植爱党、爱国、爱社会主义的情感。《中共中央关于在全党开展党史学习教育的通知》要求,在全社会进行以党史为重点的“四史”宣传教育,突出青少年群体,贴近青少年需求,引导他们听党话、跟党走。加强以党史教育为重点的“四史”教育,要以习近平新时代中国特色社会主义思想为指导,全面落实立德树人根本任务,教育引导学生弄清楚当今中国所处的历史方位和自己所应担负的历史责任,深刻理解中华民族从站起来、富起来到强起来的历史逻辑、理论逻辑和实践逻辑,增强听党话、跟党走的思想和行动自觉,牢固树立中国特色社会主义的道路自信、理论自信、制度自信、文化自信。各地各校要将在思政课中加强以党史教育为重点的“四史”教育作为落实党中央重大决策部署的具体体现,充分发挥思想政治理论课主渠道作用,在以党史教育为重点的“四史”教育中有效提升学生的政治认同、思想认同、情感认同,真正做到“学史明理、学史增信、学史崇德、学史力行”,坚定对马克思主义的信仰、对中国特色社会主义的信念、对中华民族伟大复兴中国梦的信心,以昂扬姿态为全面建设社会主义现代化国家努力奋斗。
二、充分发挥思政课在进行以党史教育为重点的“四史”教育中的主渠道作用
1.高校思政课必修课要进一步深化以党史教育为重点的“四史”教育。各地各校要按照中办、国办《关于深化新时代学校思想政治理论课改革创新的若干意见》精神,严格开设好思政课各门必修课。持续深化所有思政课必修课中“四史”学习教育相关内容的有机融入,讲清讲透各门必修课中蕴含的“四史”道理学理哲理。
2.有条件的高校要开设以党史教育为重点的“四史”思政课程。全国重点马克思主义学院根据本校实际情况,至少开设1门“四史”类思政课选择性必修课,所在高校本科生至少修读1门该课程。具有马克思主义理论学科点的高校面向马克思主义理论学科学生开设“四史”类必修课。有条件的高校根据本校实际情况,开设“四史”类思政课选修课,可将“四史”类思政课选修课与人文素质类选修课、专题讲座融合开设。
3.各地中小学校要积极组织开展“从小学党史 永远跟党走”主题教育活动。围绕“图话百年”宣传教育活动、“学习新思想,做好接班人”阅读活动、百年先锋学习活动、“童心向党”班会活动、“寻访红色足迹”红色教育实践活动等,通过组织学生学习阅读反映党史重大事件、杰出人物的视频、文章,深入开展党史学习教育,坚持学习党史与学习新中国史、改革开放史、社会主义发展史相贯通,将主题教育活动与思政课教育教学、班团队活动、校园文化建设等相结合,引导中小学生坚定不移听党话、跟党走,传承红色基因,延续红色血脉。
4.用好“读本”读物。用好教育部组织编写的“四史”大学生读本、《习近平新时代中国特色社会主义思想学生读本》、“读懂新时代”丛书——《道路何以自信》《理论何以自信》《制度何以自信》《文化何以自信》等读本读物,作为学校开展“四史”学习教育的辅助读物。
三、注重各学段学习教育重点内容和要求
1.科学设计教学内容。各地各校要按照习近平总书记在党史学习教育动员大会上的重要讲话中深刻阐明的党史学习教育的重点和工作要求,遵循学生认知规律,设计思政课以党史教育为重点的“四史”教育内容,体现不同学段特点。研究生阶段重在开展探究性学习,本专科阶段重在开展理论性学习,高中阶段重在开展常识性学习,初中阶段重在开展体验性学习,小学阶段重在开展启蒙性学习。
2.落实各学段学习教育要求。大学阶段重在增强使命担当,引导学生矢志不渝听党话跟党走。高中阶段重在提升政治素养,引导学生衷心拥护党的领导和我国社会主义制度。初中阶段重在打牢思想基础,引导学生把党、祖国、人民装在心中,强化做社会主义建设者和接班人的思想意识。小学阶段重在启蒙道德情感,引导学生形成爱党、爱国、爱社会主义、爱人民、爱集体的情感,具有做社会主义建设者和接班人的美好愿望。
四、改革创新教学方式方法,确保学习效果入脑入心
1.充分利用媒体资源、创新方式方法,组织上好网络大课。教育部举办“同上‘四史’思政大课”,邀请优秀思政课教师、权威专家进行教学示范。推动“四史”课通过全国高校思政课教师网络集体备课平台实现优秀教学资源共享。国家中小学网络云平台开设党史学习专栏,遴选上线适合中小学生特点的党史学习教育资源,供广大师生学习使用。采取理论与实践结合、线上与线下结合、教师讲授与学生读原著学原文悟原理结合等方式开展教学,鼓励各地各校结合实际和学生特点,运用科学、开放、创新的方式方法启智寓情励行。
2.开展集体备课、研讨交流、专题培训等,提升教师教学能力。通过“周末理论大讲堂”导学习近平总书记重要讲话及关于“四史”的重要论述等,通过“全国高校思政课教师网络集体备课平台”直播,指导高校思政课教师做好集体备课。根据各高校课程建设情况,指导全国重点马克思主义学院所在高校召开教学交流研讨会,深入研讨以党史教育为重点的“四史”教育融入思政课的经验、做法,推动思政课质量提升。
3.发掘本地本校教育资源优势,确保教育工作取得实效。各地各校要整合全校优质力量,精心设计教学计划,科学安排组织实施。要准确把握以党史学习教育为重点的“四史”教育的思政课教学目标要求、重点内容、课程载体,立足学校、学段、学生实际,把握学生特点,贴近学生需求,着力讲好党的故事、革命的故事、英雄的故事,深挖教育系统红色资源“鲜活教材”,增强课程吸引力感染力,切实提高育人成效。
各地各校可将开课安排、课程效果以及意见建议及时报我部(社科司、基教司)。
教育部办公厅
2021年4月16日
中共中央办公厅印发《关于加强新时代
马克思主义学院建设的意见》
新华社北京9月21日电 近日,中共中央办公厅印发了《关于加强新时代马克思主义学院建设的意见》(以下简称《意见》),并发出通知,要求各地区各部门结合实际认真贯彻落实。
《意见》指出,马克思主义是我们立党立国的根本指导思想,马克思主义学院是学习研究宣传马克思主义的主阵地,思想政治理论课是马克思主义学院坚持用习近平新时代中国特色社会主义思想铸魂育人的主渠道。加强马克思主义学院建设,是深化马克思主义理论研究和建设的重要举措,是培养担当民族复兴大任时代新人的内在要求,对于构建以马克思主义为指导的中国特色哲学社会科学,建设具有强大凝聚力和引领力的社会主义意识形态,进一步丰富和发展当代中国马克思主义、21世纪马克思主义,对于彰显中国大学社会主义底色,引导青年学生牢固树立共产主义远大理想和中国特色社会主义共同理想,培养一代又一代社会主义建设者和接班人,具有重要意义。
《意见》指出,党的十八大以来,各地区各有关部门和单位贯彻落实党中央要求,推动马克思主义学院建设取得长足进展,各方面工作迈上新台阶。同时,与新时代新要求相比,马克思主义学院在教育教学、研究宣传、队伍建设、人才培养等方面还存在差距,马克思主义理论学科建设亟待加强。必须适应新形势新任务的迫切需要,立足党和国家事业全局,把加强马克思主义学院建设作为基础性、战略性工程,推动实现高质量发展。
《意见》明确,加强新时代马克思主义学院建设,要坚持以马克思列宁主义、毛泽东思想、邓小平理论、“三个代表”重要思想、科学发展观、习近平新时代中国特色社会主义思想为指导,全面贯彻党的教育方针,坚持社会主义办学方向,落实立德树人根本任务,把马克思主义中国化最新成果的教学和研究作为重中之重,进一步明确职责使命,推动内涵式发展,强化政策保障,着力打造马克思主义理论教育教学、研究宣传和人才培养的坚强阵地,为全面建设社会主义现代化国家、实现中华民族伟大复兴的中国梦提供坚实学理支撑和人才支持。要坚持正确方向、坚持铸魂育人、坚持守正创新、坚持系统谋划,积极探索马克思主义理论教育教学规律、学科发展规律和人才培养规律,更好服务党和国家工作大局。
《意见》指出,要扎实推动马克思主义学院内涵式发展。加强马克思主义理论学科建设,把准学科定位方向,充分发挥马克思主义理论学科引领作用。大力推进思想政治理论课改革创新,在政治引导、学理阐释和价值塑造上下功夫,提升教学实效。强化课程体系和教材体系建设,将党的理论创新成果全面贯穿、有机融入各门课程,切实提升教材的政治性、时代性、科学性、可读性。立足新时代中国特色社会主义鲜活实践,找准切入点、聚焦点、结合点,加强马克思主义理论研究宣传。着力打造一支信仰坚定、理论功底扎实、数量充足、结构优化的高素质教师队伍,切实增强使命感、认同感、获得感。提高专业人才培养质量,源源不断培养马克思主义理论后备人才。
《意见》指出,要强化马克思主义学院建设政策支撑机制。以育人成效为标准,完善体现马克思主义理论学科特点、符合思想政治理论课教学内在要求、有利于教师职业发展的考核评价体系。以培养真学真懂真信真用马克思主义的教师为目标,完善培训体系,加大支持力度,健全教师成长激励机制。牢固树立全员、全程、全方位育人理念,建立协同育人机制,实现课程思政与思政课程同向同行、日常思政工作与思政课程同频共振。加强马克思主义理论学术阵地建设,培育和夯实发展平台,构建平台支持体系。建强建优全国重点马克思主义学院,提升发展质量,强化示范辐射,加强建设管理,以全国重点马克思主义学院为牵引,推动形成各类马克思主义学院相互促进、共同发展、一体推进的局面。
《意见》强调,要切实加强党对马克思主义学院建设的领导。各级党委要把马克思主义学院建设工作摆在重要位置,加强领导和统筹规划。宣传、教育等部门要为马克思主义学院建设提供有力政策指导、组织保障和经费支持。马克思主义学院所在单位要将马克思主义学院作为重点学院、马克思主义理论学科作为重点学科、思想政治理论课作为重点课程加强建设,给予优先保障。要严格督导考核,在结合巡视巡察开展的意识形态工作责任制专项检查中,加大对马克思主义学院建设情况的检查力度。把马克思主义学院建设列为所在单位党的建设工作考核、办学质量评估的重要内容,作为所在单位领导班子、主要领导和分管领导综合考核评价的重要参考,推动建好建强马克思主义学院。
教育部办公厅关于印发《教育部大中小学
思政课一体化建设指导委员会章程》的通知
教社科厅函〔2021〕21号
各省、自治区、直辖市教育厅(教委),新疆生产建设兵团教育局,部属各高等学校、部省合建各高等学校:
《教育部大中小学思政课一体化建设指导委员会章程》已经教育部大中小学思政课一体化建设指导委员会讨论通过,并报部领导批准。现印发给你们,请认真贯彻落实。
教育部办公厅
2021年11月23日
教育部大中小学思政课一体化建设
指导委员会章程
第一章 总则
第一条 为贯彻落实习近平总书记关于教育的重要论述特别是在学校思想政治理论课教师座谈会上的重要讲话精神,贯彻落实中共中央办公厅、国务院办公厅印发的《关于深化新时代学校思想政治理论课改革创新的若干意见》,加强对不同学段思政课建设统筹指导,深入推进习近平新时代中国特色社会主义思想“三进”,推动新发展阶段学校思政课高质量发展,充分发挥思政课立德树人关键课程作用,成立教育部大中小学思政课一体化建设指导委员会。
第二条 教育部大中小学思政课一体化建设指导委员会,是在教育部党组领导下,加强和改进学校思政课建设工作的决策协调议事机构,主要职能是对大中小学思政课一体化建设进行政治领导和工作指导。
第二章 组织
第三条 教育部大中小学思政课一体化建设指导委员会由主任委员、副主任委员、管理部门委员和专家委员若干人组成。根据工作需要下设一体化建设专家指导组,设组长、副组长若干名。
第四条 教育部大中小学思政课一体化建设指导委员会主任委员由教育部主要负责同志担任,副主任委员由教育部分管负责同志担任,委员由教育部相关司局主要负责同志和一体化建设专家指导组组长、副组长担任。
第五条 按照思想政治素质好、学术水平高、教学或管理经验丰富、身体健康等条件,在从事高校思政课必修课和中小学(含中职)道德与法治(思想政治)、语文、历史等课程教学和研究的专家中,择优选聘一体化建设专家指导组成员。
第六条 教育部大中小学思政课一体化建设指导委员会委员及一体化建设专家指导组成员实行任期制,每届任期5年,任期内可根据工作需要适当调整。
第七条 教育部大中小学思政课一体化建设指导委员会办公室设在教育部社会科学司。办公室负责日常工作、综合协调等。
第三章 任务
第八条 统筹指导教育部部内有关司局,指导推动各地教育部门、各学校贯彻落实党中央关于大中小学思政课一体化建设的有关决策部署,贯彻落实教育部党组关于深化学校思政课改革创新的工作要求。
第九条 审议和研究部署大中小学思政课课程、教材、教学、师资等一体化建设和管理方面的重大事项。
第十条 一体化建设专家指导组的主要任务:
1.咨询。就大中小学思政课一体化建设的重大理论和实践问题,经常性地开展调查研究,提出工作建议和咨询意见,提供决策参考。
2.研判。跟踪研究大中小学思政课一体化建设面临的新形势新要求,分析预测思政课一体化建设的发展趋势,研判提出一段时期思政课建设的总体态势、存在问题和应对举措。
3.评估。及时跟踪了解各地推进大中小学思政课一体化建设的做法成效,总结经验、发现问题、剖析原因,提出加强和改进的意见建议,推出高质量评估报告。
4.培训。组织师资培训、教学研讨、集体备课等,建立跨学段交流研讨机制,提高大中小学思政课教师的教学科研水平。
5.指导。及时解答各地各校提出的思政课一体化方面的疑难问题和困惑,对各地各校的相关活动提供政策和业务指导,推动一体化建设坚持正确方向。
6.受教育部委托,开展大中小学思政课一体化建设的其他工作。
第四章 工作方式
第十一条 教育部大中小学思政课一体化建设指导委员会原则上每年召开一次会议,听取和审议办公室提交的工作报告及有关重大事项,讨论大中小学思政课一体化建设发展中的重大问题,必要时可召开临时会议,也可不定期举行一体化建设专家指导组专题会议。
第十二条 教育部大中小学思政课一体化建设指导委员会,根据党中央有关决策部署、教育部年度工作要点,制订委员会年度工作计划。
第十三条 教育部根据工作需要,为指导委员会和一体化建设专家指导组提供必要的条件保障和经费支持。
第十四条 一体化建设专家指导组成员所在单位要对专家参加有关会议、完成工作任务提供必要条件和给予积极支持。
第五章 附则
第十五条 本章程自发布之日起实施。
教育部关于印发《高等学校思想政治理论课
建设标准(2021年本)》的通知
教社科〔2021〕2号
各省、自治区、直辖市教育厅(教委),新疆生产建设兵团教育局,有关部门(单位)教育司(局),部属各高等学校、部省合建各高等学校:
为进一步加强高校思想政治理论课的宏观指导,规范组织管理、教学管理、队伍管理和学科建设,我部对2015年颁布的《高等学校思想政治理论课建设标准(暂行)》(教社科〔2015〕3号)进行了修订。现将修订后的《高等学校思想政治理论课建设标准(2021年本)》印发给你们,请遵照执行。原《高等学校思想政治理论课建设标准(暂行)》(教社科〔2015〕3号)同时废止。
附件:《高等学校思想政治理论课建设标准》(2021本)
教育部
2021年11月30日
《高等学校思想政治理论课建设标准》(2021本)







安徽省人民政府关于印发实施德智体美劳“五大行动”全面提高育人质量工作方案的通知
各市、县人民政府,省政府各部门、各直属机构:
现将《实施德智体美劳“五大行动”全面提高育人质量工作方案》印发给你们,请认真组织实施。
安徽省人民政府
2021年12月14日
实施德智体美劳“五大行动”全面提高育人质量工作方案
为深入贯彻落实习近平总书记关于教育的重要论述和对安徽作出的系列重要讲话指示批示,根据省委关于实施德育铸魂、智育提质、体教融合、美育熏陶、劳动促进“五大行动”(以下简称“五大行动”)的部署要求,制定本工作方案。
一、总体目标
到2025年,大中小幼一体化德育体系更加完善,“三全育人”工作格局基本形成。科学的教育质量观进一步树立,学生过重的课业负担明显减轻,以创新为导向的教育教学质量明显提升。学校体育工作制度机制更加健全,学生身体素质明显提升。现代化学校美育体系基本形成,学生审美和人文素养明显提升。体现时代特征的劳动教育体系基本形成,学生劳动观念、劳动精神、劳动习惯明显强化。教育生态进一步优化,“五育并举”的培养体系、管理体系和科学评价体系进一步完善,学校、家庭、社会“三位一体”育人体系基本形成,为建成教育强省奠定坚实基础。
到2035年,立德树人系统化落实机制更加健全,德智体美劳全面培养的高质量教育体系更加完善,科学的教育观、成才观全面树立,人才培养质量全面提高,教育生态更加优良,人民群众教育获得感显著增强。
二、重点任务
(一)实施德育铸魂行动。
1.实施红色基因传承工程。进一步推进习近平新时代中国特色社会主义思想进课堂进教材进头脑,培育和践行社会主义核心价值观,全面加强中华优秀传统文化、革命文化、社会主义先进文化教育,优化课程设置,丰富教学形式,提升教育实效。常态化开展以党史为重点的“四史”学习教育,加强红色教育基地、爱国主义教育基地等校外教育实践场所建设,充分用好安徽红色资源,讲好红色故事,引导学生坚定理想信念、厚植爱国主义情怀、赓续红色血脉。
2.增强中小学德育实效。改进德育方式方法,注重循序渐进、因材施教、潜移默化,开展符合中小学生身心特点和认知水平的德育教育活动。开齐开足上好道德与法治、思想政治课,组织开发覆盖中小学各年级的优质教学资源,将德育内容有机融入到各门课程教学。加强基本礼仪、基本规则、基本要求等教育。明确校园文化建设基本标准,鼓励学校建设健康向上、各具特色的校园文化,开展文明校园、绿色校园建设活动。利用重大节日、纪念日和“国旗下的讲话”、入学入队入团仪式、主题班会等开展德育活动。开展丰富多彩的德育主题实践活动。统筹校内外德育资源,发挥相关部门、群团组织和社会力量的作用,动员鼓励广大“五老”人员参与和指导青少年德育活动。积极探索建立学生校内外教育实践活动管理信息化、服务一体化机制。
3.提升高校思想政治工作质量。深化“三全育人”综合改革试点省建设。落实好“八个相统一”要求,继续提升高校思想政治理论课质量和水平,实施习近平新时代中国特色社会主义思想大学习领航计划,实施高校思想政治工作能力提升计划,打造100节“精彩一课”。加强高校马克思主义学院、理论学科建设,创建马克思主义理论学科国家级协同创新中心。持续推进“英模·大师进课堂”活动。加强高校“第二课堂成绩单”制度建设。成立省级课程思政教学研究示范中心。建设完善教管服一体化智慧思政大数据平台,加强推广应用,实现高校全覆盖。
4.健全大中小学思政课一体化机制。全面推进大中小学思政课备课、教学、培训一体化机制建设。发挥高校马克思主义学院辐射作用,建设一批大中小学思政课一体化同城联盟。建立大中小学德育一体化教科研机制,依托学校等建立大中小学德育发展研究中心。鼓励教学名师到思政课堂上讲课,常态化开展领导干部上讲台活动。
5.完善心理健康教育服务体系。开足开好心理健康课程,研制全省大中小学心理危机干预指导手册。成立省大中小学生心理健康教育指导委员会,依托高校建立省大中小学生心理健康教育指导中心。加强学校心理健康教育管理工作,形成高质量的学校心理健康教育和管理工作体系。分批分期建设省、市、县(含市、区,下同)、校四级儿童青少年心理咨询服务热线系统,加强心理咨询辅导服务,做细做实日常预警防控。强化医教协同、家校协同,加强学校心理健康教育和管理工作,完善学生心理危机预防快速处理反应机制。
6.建强学校德育工作队伍。到2022年底前,按规定配齐高校思政课教师、辅导员。完善编制保障,核定或调整中小学教职工编制时充分考虑思政课教师配备情况,严格按要求配齐思政课教师。加强思政课教师等德育骨干培训,提升专业化能力。机制化遴选高校辅导员年度人物、思政课教师年度影响力人物,常态化开展高校辅导员职业能力大赛、思政理论课教学展示比赛。强化班主任队伍建设,引导高素质教师担任班主任;完善班主任激励机制,将班主任考核结果作为教师聘任、奖励和职务晋升的重要依据,提高班主任待遇。建设一批省级名班主任工作室,开展中小学班主任基本功大赛,定期遴选一批省级中小学优秀班主任、年度十佳班主任。建立健全大中小学德育类职称评审制度。
(二)实施智育提质行动。
1.推进基础教育减负增效。认真落实“双减”政策,制定提升中小学课堂教学质量指导意见,精准分析学情,注重差异化教学和个性化指导,更加注重面向人人、因材施教。实施幼小衔接、小初衔接行动计划,落实“零起点”教学。推动普通高中多样化有特色发展。出台基础教育各学段学科教学指导意见。举办各学段各学科课堂教学评比活动。加强作业、睡眠、手机、读物、体质“五项管理”。进一步推进课后服务工作,2021年秋季学期确保实现义务教育学校全覆盖,并实现有需要的学生全覆盖。实施校外培训机构专项治理行动,各地不再审批新的面向中小学学生的学科类校外培训机构,严格规范培训机构服务行为,强化常态运营监管。
2.推动职业教育提质培优。实施部省整省推进职业教育一体化高质量发展、加快技能安徽建设共同行动。深化教育教学改革,强化“双师型”教师队伍建设,完善“岗课赛证”综合育人机制。建立职业院校省级规划教材目录制度,打造精品教材。优化职业教育供给结构,优先发展新一代信息技术等十大新兴产业需要的新兴专业,鼓励学校开设紧缺的符合市场需求的专业,形成紧密对接产业链、创新链的专业体系。推动高校建设与政府、行业企业等多主体共建共管的现代产业学院。清理对职业教育人才的歧视性政策。
3.推进高等教育质量提升。实施部省推动结构优化、建设高质量高等教育体系共同行动。加快一流学科专业和高水平大学建设。抓好高峰学科建设五年规划(2020—2024年)落实,优化高校学科专业结构,加快形成与我省创新发展格局、产业发展导向相匹配的学科专业体系。深化研究生教育人才培养模式改革和教育教学改革,切实提升研究生培养质量,加强经济社会发展重要领域急需高层次人才培养。实施“双万”计划,建设一流本科教育。
4.完善教育质量保障机制。落实各学段教育质量国家标准。建设基础教育质量监测中心,牵头研制出台长三角地区基础教育质量评价指标体系。成立课程改革专家咨询委员会、教材委员会、教学指导委员会和学科专家指导组。推进高中阶段招生制度改革和高考综合改革。完善高等教育质量监测制度和职业教育质量评价制度体系,强化评价结果运用。扎实推进“五大行动”实验区遴选和高校分类评价。定期开展教学成果奖评选,加强国家级、省级优秀教学成果推广应用。遴选一批省级“教坛新星”。配齐配强各学科教研员。
5.加快发展智慧教育。完善全省统一的教育数字化建设标准体系。积极应用新一代信息技术赋能教育,推进教育行业新基建建设,实现教育“云网端”一体化,加快智慧学校建设全覆盖,丰富智慧教育应用场景,推动教育数字化转型。深化智慧教育系统应用,精准分析学情,开展个性化教学,打造以人为本的数字学习新模式。提升优化省资源应用平台功能,加快建成覆盖各年级各学科的优质数字资源体系,推进长三角教育资源平台互联互通、资源共享。持续推进安徽继续教育网络园区建设。面向教育领域核心治理场景,推进一端统管,加快业务系统的架构治理和数据共享,推动高频教育服务事项“掌上办”。
(三)实施体教融合行动。
1.提升体育教学质量。严格落实学校体育课程开设刚性要求,逐步增加课时,鼓励基础教育阶段学校每天开设1节体育课,不得挤占体育课,高等教育阶段学校将体育纳入人才培养方案。逐步完善“健康知识+基本运动技能+专项运动技能”的教学模式,帮助义务教育阶段学生掌握1至2项运动技能,推进高校公共体育教育俱乐部制教学改革。推进体育锻炼家校共育,鼓励家长引导孩子进行校外体育活动,保障中小学生每天校内、校外体育活动时间各1小时。
2.完善学校体育赛事体系。围绕教会、勤练、常赛的要求,坚持普及与提高相结合,完善校内比赛、校际联赛、选拔性竞赛为一体的省、市、县、校四级体育赛事体系。创建一批体育传统特色学校,大力发展校园足球等集体球类项目,积极推广冰雪运动。教育、体育部门联合建设高校高水平运动队,纳入竞技体育后备人才培养体系。整合各类青少年体育赛事,打通教育和体育系统赛事互认通道。组织优秀体育运动员进校园。
3.提高学生体质健康水平。常态化开展学生体质监测,完善学生体质健康监测档案,将体育科目纳入初中、高中学业水平考试范围,积极推进高校在招生测试中增设体育项目,高等教育阶段学生体质健康达标、修满体育学分方可毕业。抓好青少年肥胖、近视防控,降低学生肥胖发生率,到2023年,力争实现全省儿童青少年总体近视率在2018年的基础上每年降低1个百分点以上。加强学校卫生与健康教育,培养学生养成良好的健康习惯。建立日常参与、体质监测和专项运动技能测试相结合的考查机制。
4.加大学校体育保障力度。实施体育教师配备和场地器材建设三年行动计划。配齐配强中小学专职体育教师,设立专(兼)职教练员岗位,建立聘用优秀退役运动员担任体育教师或教练员制度。建设一批中小学体育教师培训基地,组织开展体育教师轮训。落实国家学校体育卫生条件基本标准,积极破解城区学校体育场地“用地难”问题,提升农村学校体育场地设施达标水平,完善学校和公共体育场馆开放共享机制。健全学校体育运动伤害风险防范和处理机制。
(四)实施美育熏陶行动。
1.深化美育教学改革。严格落实学校美育课程刚性要求,逐步增加课时。明确各级各类学校美育课程目标,完善“艺术基础知识基本技能+艺术审美体验+艺术专项特长”的教学模式。推广面向全体学生的声乐、器乐、舞蹈、戏剧、书法、绘画等艺术教育。鼓励学校与社会公共文化艺术场馆、文艺院团合作开设美育课程。成立省级美育教学指导委员会,培育一批学校美育优秀教学成果和名师工作室,打造一批中华优秀传统文化传承学校和基地,建设一批具有安徽特色的美育课程。推进高校公共艺术教育俱乐部制教学改革和艺术师范教育人才培养模式改革。
2.丰富艺术实践活动。建立常态化学生全员展演机制,每三年分别举办一次省级大学生和中小学生综合性艺术展演,各地各校每年至少举办一次艺术展演或艺术专项展示,鼓励举办跨校、跨区域艺术展演交流活动。举办全省中学生戏剧节、职教校企文化艺术节、大学生电影节等活动,推动高雅艺术、戏曲、非物质文化遗产等进校园。开展艺术实践工作坊和博物馆、非遗展示传习场所体验学习等实践活动,有条件的地方和学校每年组织学生现场参观艺术展馆、观看艺术展演。全面实施中小学生艺术素质测评,将测评结果纳入初、高中学生综合素质评价。高等教育阶段实行学分制管理,学生修满公共艺术课程2个学分方能毕业。
3.提高学校美育保障水平。实施美育教师配备和场地器材建设三年行动计划。加大中小学美育教师补充力度,未配齐的地区应每年划出一定比例用于招聘美育教师。鼓励优秀文艺工作者到学校兼任美育教师。加强乡村学校美育全科教师和兼职教师培养。建立美育薄弱学校帮扶机制,支持高校开展美育浸润行动计划,推动实施艺术教育专业大学生支教计划。建好满足课程教学和实践活动需求的场地设施、专用教室,加快配齐农村学校美育设施、器材,鼓励高校与所在地政府共建共享艺术场馆。
(五)实施劳动促进行动。
1.构建劳动教育体系。开齐开足开好劳动教育课程,不得挤占和挪用劳动课程教学和劳动实践时间。在其他学科课程中有机融入劳动教育内容,形成大中小学衔接贯通的劳动教育课程体系。丰富劳动教育资源,建设分学段、分专题的劳动教育资源包,组织编写中小学劳动实践指导手册,组织职业院校编写专题读本,指导高校开发创新创业专题读本。学校要制定劳动教育总体实施方案和年度计划,注重课程教学实效,强化学生动手实践能力和体验。开展劳动教育过程监测与记实评价,将参与劳动教育课程学习和实践情况纳入学生综合素质档案。
2.广泛开展劳动教育实践活动。发挥家庭的基础作用,树立崇尚劳动的良好家风,鼓励孩子每年有针对性地学会1至2项生活技能,把劳动教育纳入“家长学校”指导内容。发挥学校的主导作用,明确学校劳动教育要求,制定劳动公约、劳动清单,根据学生身体发育情况,科学设计课内外劳动项目,引导学生形成马克思主义劳动观,系统学习掌握必要的劳动技能。发挥社会的支持作用,积极协调和引导企业公司、工厂农场等组织开放实践场所。
3.培育劳动文化。大力弘扬劳模精神、劳动精神、工匠精神,将每年5月第2周设为全省“学生劳动教育宣传周”,结合植树节、学雷锋纪念日、五一劳动节、农民丰收节、志愿者日等开展专题劳动实践,大中小学每学年设立劳动周。组织劳动模范、大国工匠进校园。开展劳动技能和成果展示、劳动竞赛等活动。遴选发布劳动教育先进典型案例。
4.提升劳动教育支撑保障能力。建立以县为主、政府统筹规划配置中小学(含中等职业学校)劳动教育资源的机制,加快实现县级中小学劳动教育综合实践基地全覆盖。多渠道拓展实践场所,遴选一批省级劳动教育实践基地。加强学校劳动教育设施标准化建设,建立学校劳动教育器材、耗材补充机制。建立专兼职相结合的劳动教育教师队伍。各地、各普通高校要成立劳动教育教学指导委员会,设立劳动教育专题研究项目。建立健全劳动教育教师工作考核体系,分类完善评价标准。在职务评定和岗位晋升工作中将劳动教育教师与其他学科教师同等对待。
三、落实机制
(一)加强组织领导。省政府成立由分管负责同志任组长的“五大行动”工作领导小组,办公室设在省教育厅,统筹谋划、综合协调和调度指导“五大行动”实施。各市、县政府要强化主体责任,每年至少听取一次工作汇报,抓好工作落实。各级各类学校校长是直接责任人,要深入细致抓好“五大行动”落实。
(二)加强条件保障。各市、县要优化财政支出结构,纳入财政预算,加大投入力度,切实保障“五大行动”任务落实。开展“五大行动”实验区遴选,省财政给予资金奖补。教育部门要牵头抓总,制定细化方案,加强案例指导。机构编制、人力资源社会保障部门要为师资配备、职称评审等提供支持和保障。发展改革、自然资源、住房城乡建设、数据资源部门要在规划、用地、项目建设、数字化等方面加大支持力度。卫生健康、体育、文化和旅游、市场监管、妇联等部门根据职责分工,共同抓好落实。鼓励和引导社会力量支持“五大行动”实施,重视发挥各级关工委和广大“五老”的作用。
(三)加强督导考核。省每年制定工作量化目标和具体工作计划。将“五大行动”实施情况作为省政府教育督导重点任务,纳入对市级人民政府履行教育职责评价、县党政领导干部履行教育职责督导考核内容,加强结果运用。各地、各有关部门要加强调度推进、督促督办。开展质量监测,强化反馈和指导。对政策落实不到位、学生体质健康达标率和艺术素质测评合格率等重要指标持续下降的市、县政府,教育行政部门和学校负责人,依法依规予以问责。
(四)营造良好环境。全面、完整、准确宣传党的教育方针,引导全社会树立科学的教育发展观、人才成长观、选人用人观,健全家庭、学校、社会“三位一体”协同育人机制,在全社会形成共同支持德智体美劳全面培养的良好氛围。全方位、多角度宣传推广“五大行动”的典型经验。
教育部等十部门关于印发《全面推进“大思政课”建设的工作方案》的通知
教社科〔2022〕3号
现将《全面推进“大思政课”建设的工作方案》印发给你们,请认真贯彻执行。
教育部 中共中央宣传部
中共中央网络安全和信息化委员会办公室
科学技术部 工业和信息化部 生态环境部
国家卫生健康委 国家文物局
国家乡村振兴局 中国关心下一代工作委员会
2022年7月25日
全面推进“大思政课”建设的工作方案
为深入贯彻落实习近平总书记关于“大思政课”的重要指示批示和在中国人民大学考察时的重要讲话精神,贯彻落实中共中央、国务院《关于新时代加强和改进思想政治工作的意见》,中共中央办公厅、国务院办公厅印发的《关于深化新时代学校思想政治理论课改革创新的若干意见》和中共中央办公厅《关于加强新时代马克思主义学院建设的意见》精神,坚持不懈用习近平新时代中国特色社会主义思想铸魂育人,制定本工作方案。
一、总体要求
党的十八大以来,特别是习近平总书记亲自主持召开学校思想政治理论课教师座谈会以来,思政课在党中央治国理政战略全局中的地位日益凸显,发展环境和整体生态发生根本性转变,习近平新时代中国特色社会主义思想铸魂育人成效明显,思政课建设、日常思想政治工作、课程思政全面推进。同时,一些地方和学校对“大思政课”建设的重视程度不够,开门办思政课、调动各种社会资源的意识和能力还不够强,课程教材体系还需要进一步完善,有的学校教师数量不足、质量不高,对实践教学重视不够,有的课堂教学与现实结合不紧密,大中小学思政课一体化建设亟需深化,有的学校第二课堂重活动轻引领,课程思政存在“硬融入”“表面化”等现象。
全面推进“大思政课”建设,要坚持以习近平新时代中国特色社会主义思想为指导,聚焦立德树人根本任务,推动用党的创新理论铸魂育人,不断增强针对性、提高有效性,实现入脑入心。坚持开门办思政课,强化问题意识、突出实践导向,充分调动全社会力量和资源,建设“大课堂”、搭建“大平台”、建好“大师资”,建设全国高校思政课教研系统,设立一批实践教学基地,推出一批优质教学资源,做优一批品牌示范活动,支持建设综合改革试验区,推动思政小课堂与社会大课堂相结合,推动各类课程与思政课同向同行,教育引导学生坚定“四个自信”,成为堪当民族复兴重任的时代新人。
二、改革创新主渠道教学
1.建构党的创新理论研究阐释和教育教学的自主知识体系。各高校全面开设“习近平新时代中国特色社会主义思想概论”课。中央宣传部、教育部编写习近平新时代中国特色社会主义思想概论课教材。教育部实施习近平新时代中国特色社会主义思想研究重大专项,加强习近平新时代中国特色社会主义思想系统化学理化和分领域分专题研究,将习近平新时代中国特色社会主义思想有机融入全面贯穿哲学社会科学各学科知识体系。
2.建强思政课课程群。各地各校加强以习近平新时代中国特色社会主义思想为核心内容的课程群建设,形成必修课加选修课的课程体系。高校要统筹全校力量,结合自身实际,重点围绕习近平经济思想、习近平法治思想、习近平生态文明思想、习近平强军思想、习近平外交思想以及“四史”、宪法法律、中华优秀传统文化等设定课程模块,开设选择性必修课程。
3.优化思政课教材体系。落实系列重大主题教育指南和纲要,深入推进习近平总书记在地方工作期间的重大实践、视察地方和学校重要论述进课程教材。及时修订思政课统编教材,将党的创新理论最新成果有机融入各门思政课。编写马克思、恩格斯、列宁关于哲学社会科学及各学科重要论述摘编。持续推进新时代马克思主义理论研究和建设工程重点教材建设。
4.拓展课堂教学内容。教育部组织制作“思政课导学”课件、讲义、专题片等,帮助教师讲深讲透讲活学好思政课的重要意义。各地各校围绕新时代的伟大实践,充分挖掘地方红色文化、校史资源,将伟大建党精神和抗疫精神、科学家精神、载人航天精神等伟大精神,生动鲜活的实践成就,以及英雄模范的先进事迹等引入课堂,推动党的创新理论和历史融入各学段各门思政课。
5.创新课堂教学方法。各校加强对学生思想、心理及关心的热点难点问题研究,制定针对性的教学方案。善于采用多样化的教学方法,注重发挥学生主体性作用,积极运用小组研学、情景展示、课题研讨、课堂辩论等方式组织课堂实践。有条件的高校要为思政课配备助教,协助开展教学组织、课后答疑等工作。
6.优化教学评价体系。高校要建立校领导、教学督导、马克思主义学院班子成员、思政课教师和学生参加的多维度综合教学评价工作体系,重视教学过程评价,增加教学研究和教学成果在评价体系中的权重。用好思政课教学评价结果,作为马克思主义学院和班子成员考核的重要指标,作为思政课教师绩效考核、职称晋升、评奖评优等的基本依据。充分发挥教学指导委员会等专家组织作用,开展教学调研指导。鼓励有条件的高校聘请思政课退休教师担任教学督导员、青年教师的成长导师。
三、善用社会大课堂
7.构建实践教学工作体系。高校要普遍建立党委统一领导,马克思主义学院积极协调,教务处、宣传部、学工部、团委等职能部门密切配合的思政课实践教学工作体系,在马克思主义学院指定专人负责,建立健全安全保障机制,积极整合思政课教师和辅导员队伍,共同参与组织指导思政课实践教学。将思政课教师、辅导员指导学生开展实践活动、指导学生理论社团等纳入教学工作量。参照学生专业实训(实习)标准设立思政课实践教学专项经费。
8.落实思政课实践教学学时学分。高校要严格落实本科2个学分、专科1个学分用于思政课实践教学的要求,中小学校要安排一定比例的课时用于学生社会实践体验活动。精心设计实践教学大纲,坚决避免实践教学娱乐化、形式化、表面化。鼓励有条件的高校开设专门的实践教学课。
9.组织开展多样化的实践教学。教育部持续组织开展中国国际“互联网+”大学生创新创业大赛青年红色筑梦之旅、习近平新时代中国特色社会主义思想大学习领航计划、“小我融入大我,青春献给祖国”主题社会实践、“技能成才,强国有我”主题教育等活动。高校要紧扣思政课实践教学目标和要求,利用志愿服务、理论宣讲、社会调研等实践活动,开展实践教学。注重总结实践教学成果,把优秀成果作为课堂教学的有效补充,支持出版高校思政课实践教学成果,推动实践教学规范化。
10.建好用好实践教学基地。教育部会同有关部门,利用现有基地(场馆),分专题设立一批“大思政课”实践教学基地。发挥好教育部高校思政课教师研学基地的实践教学功能。各地教育部门要结合实际,积极建设“大思政课”实践教学基地。大中小学要主动对接各级各类实践教学基地,开发现场教学专题,开展实践教学。有条件的学校可与有关基地建立长效合作机制,加强研究和资源开发。各基地要积极创造条件,与各地教育部门、学校建立有效工作机制,协同完成好实践教学任务。
专栏 建好用好“大思政课”实践教学基地 1.教育部、科技部联合设立科学精神专题实践教学基地。 2.教育部、工业和信息化部联合设立工业文化专题实践教学基地。 3.教育部、生态环境部联合设立美丽中国专题实践教学基地。 4.教育部、国家卫生健康委联合设立抗击疫情专题实践教学基地。 5.教育部、国家文物局联合设立中华优秀传统文化、革命文化、社会主义先进文化专题实践教学基地。 6.教育部、国家乡村振兴局联合设立脱贫攻坚、乡村振兴专题实践教学基地。 7.教育部、中国关心下一代工作委员会联合设立党史新中国史教育专题实践教学基地。 |
四、搭建大资源平台
11.建设全国高校思政课教研系统。教育部建设“全国高校思政课教师网络集体备课平台”网络支持系统、“青梨派”大学生自主学习系统、高校思政课教学创新中心资源开发系统、高校思政课教学指导委员会指导审核评估系统、高校思政课教师基础数据系统、高校思政课教师研修培训系统等为一体,共建共享、系统集成、全面覆盖的全国高校思政课教研系统。
12.推进国家智慧教育平台建设使用。教育部把“大思政课”摆在教育信息化的突出位置,加强国家智慧教育平台思政教育资源建设。通过项目支持的方式,推动教学资源建设常态化机制化。组织开发和推荐一批科学权威实用的课件、讲义,推动一线教师统一使用。加强思政课教学资源库建设,实施中小学思政课精品课程建设计划,推出一批思政“金课”。加大优质资源推广使用力度,指导各地各校用好国家智慧教育平台。
专栏 思政课教学资源库 1.建设教学案例库。组织征集和开发高质量、多形式的教学案例,特别是聚焦习近平新时代中国特色社会主义思想在中华大地的生动实践,开发一批党的创新理论主题案例。 2.打造教学重难点问题库。建立思政课教学重难点问题征集机制,动态收集学生关注的问题和思想理论困惑,统一组织研究回答,形成教学问题库。 3.建设教学素材库。建立完善采集、审核、共享机制,充分调动一线思政课教师积极性创造性,持续推出一大批优秀思政课课件、讲义、重难点解析、重要参考文献、教学配图、微视频、融媒体公开课等优质教学素材。 4.开发在线示范课程库。以国家统编教材为基本遵循,整合全国优秀思政课教师和哲学社会科学专家力量,组织开发高水平在线示范课程。 |
13.打造网络教育宣传云平台。教育部会同中央网信办等,组织开展“大思政课”网络主题宣传活动,鼓励师生围绕思政课教学内容创作微电影、动漫、音乐、短视频等,建设资源共享、在线互动、网络宣传等为一体的“云上大思政课”平台。加强高校思想政治工作网、大学生在线、易班等网络平台建设。积极研发成本适宜的虚拟仿真教学资源。组织开展“同上一堂思政大课”活动。各地各校用好“学习强国”等平台,鼓励思政课教师积极参加中央和地方主流媒体的政论、时政节目,广泛传播党的创新理论。
五、构建大师资体系
14.建设专兼结合的师资队伍。各地各校严格按照要求配备建强高校专职思政课教师、辅导员队伍,提高中小学专职思政课教师比例,实行思政课特聘教授、兼职教师制度,积极聘请党政领导、科学家、老同志、先进模范等担任思政课兼职教师。深入实施马克思主义学院院长(书记)培养工程,通过集中培养培训、委托重大项目、加强实践锻炼、开展国际国内访学等方式,培养一批青年马克思主义理论家。
专栏 建立思政课特聘教授、兼职教师制度 高校要通过建立健全思政课特聘教授制度,选聘优秀地方党政领导干部、企事业单位管理专家、社科理论界专家、各行业先进模范以及高校党委书记校长、院(系)党政负责人、名师大家和专业课骨干教师、日常思想政治教育骨干等加入思政课教师队伍,讲授思政课;通过建立健全兼职教师制度,形成英雄人物、劳动模范、大国工匠等先进代表,以及革命博物馆、纪念馆、党史馆、烈士陵园等红色基地讲解员、志愿者经常性进高校参与思政课教学的长效机制。 |
15.搭建队伍研究平台。充分发挥国家社科基金规划项目、教育部人文社科研究项目思政课教师研究专项作用,设立马克思主义理论研究和建设工程后期资助项目,组织教师加强马克思主义理论和思政课教学研究。重点支持开展“大思政课”建设规律、思政课教学难点及对策、大中小学思政课一体化、课程思政等研究。举办习近平新时代中国特色社会主义思想进教材进课堂进头脑系列研讨会。建设辅导员工作室、资助开展课题研究、推广优秀工作案例。
16.提升队伍综合能力。完善国家、地方、学校三级培训体系,实现思政课教师培训全覆盖。教育部完善“手拉手”集体备课机制,定期组织开展教学研讨活动。开展中小学思政课教师示范培训、教学基本功展示交流活动。建设辅导员网上资源库、开发虚拟仿真实训平台,组织支持开展国情考察。各地教育部门要建立中小学思政课教师轮训制度,依托各级党校和高校马克思主义学院每3年对中小学思政课教师至少进行一次不少于5日的集中脱产培训。中小学校新进专职思政课教师须取得思政课教师资格。小学兼职思政课教师在上岗前应完成一定学时的专业培训,并考核合格。各地各高校建立专门制度,常态化支持思政课骨干教师到各级宣传、教育等党政机关或基层挂职锻炼、蹲点调研,相关经历纳入评奖评优、干部选聘体系,相关成果作为职称评聘参考。严格落实生均经费用于思政课教师的学术交流、实践研修等,并逐步加大支持力度。
专栏 加强思政课教师培养培训 1.加强“高校思政课教师信息库”建设。 2.打造“全国高校思政课教师网络集体备课平台”升级版。 3.实施“高校思政课教师队伍后备人才培养专项支持计划”。 4.实施“高校思政课教师在职攻读马克思主义理论博士学位专项支持计划”。 5.举办“高校思政课骨干教师研修班”和“高校哲学社会科学骨干研修班”。 6.举办“周末理论大讲堂”。 7.依托全国高校思政课教师研修(学)基地,组织思政课教师开展分课程、分专题研修活动。 8.“高校思想政治理论课‘手拉手’集体备课中心”和“高校思想政治理论课名师工作室”,举办跨地区、跨学段、跨学校等多形式的集体备课、教学研讨活动。 9.举办“全国高校思政课教学展示活动”。 10.开展“高校优秀思政课教师和马克思主义理论学科学生奖励基金”遴选。 11.开展中小学思政课教师示范培训。 12.开展中小学思政课教师基本功展示交流活动。 |
六、拓展工作格局
17.分层分类开展“大思政课”综合改革试点。教育部围绕实践教学、教师队伍建设、大中小学思政课一体化、问题式专题化团队教学和均衡发展等思政课改革创新重大问题,在北京、天津、上海、江西、陕西等地设立综合改革试验区。地方党政负责同志坚持联系高校并讲思政课。坚持教材编写、师资培养、理论阐释、教学研究相结合,统筹推进习近平新时代中国特色社会主义思想研究中心(院)、国家教材建设重点研究基地、人文社科重点研究基地、师资培训中心、马克思主义学院等建设,开展“联学联讲联研”综合改革试点。深入推进“三全育人”综合改革,持续扩大高校“一站式”学生社区综合管理模式建设试点。
18.深入推进大中小学思政课一体化建设。教育部加强大中小学思政课一体化建设指导委员会建设,支持各地建设一批一体化基地,鼓励高校积极开展与中小学思政课共建。各地教育部门加强引导和协调,建立大中小学师资培育、听课评课、教研交流、集体备课等常态化工作机制。
19.全面推进课程思政高质量建设。教育部组建高等学校课程思政教学指导委员会,研制普通本科专业类课程思政教学指南,组织开展高校教师课程思政教学能力培训,建设一批课程思政系列共享资源库。建成一批课程思政示范高校,推出一批课程思政示范课程,选树一批课程思政教学名师和团队,建设一批高校课程思政教学研究示范中心。加强中小学学科德育建设。
20.扎实开展日常思政教育活动。学校党委书记、校长要在开学、毕业典礼等重要场合,讲授“思政大课”。学校要以重大纪念日、重大历史事件为契机,通过“学习新思想,做好接班人”主题教育、职教学生读党报、新时代先进人物进校园、论坛讲坛、讲座报告会等,组织专题“思政大课”。教育部打造并集中展示一批校园文化原创精品,建设一批文化传承基地。办好“全国大学生网络文化节”和“全国高校网络教育优秀作品推选展示活动”。
七、加强组织领导
21.强化统筹协调。教育部、中央宣传部做好“大思政课”建设的总体谋划。中央网信办指导做好“大思政课”全媒体宣传。科技部、工业和信息化部、生态环境部、国家卫生健康委、国家文物局、国家乡村振兴局、中国关心下一代工作委员会等部门,加强对基地的指导和建设,切实发挥好基地的育人功能。
22.积极推进落实。各地要把“大思政课”建设作为“十四五”时期推动思政课高质量发展的重要抓手,在基地资源、经费投入、队伍建设、条件保障等方面采取有效措施。将中外合作办学院校纳入“大思政课”建设整体布局。各地各校要及时总结宣传“大思政课”建设的好经验好做法,营造良好舆论氛围。
教育部办公厅关于进一步加强全国职业院校
教师教学创新团队建设的通知
教师厅函〔2022〕21号
各省、自治区、直辖市教育厅(教委),新疆生产建设兵团教育局:
为贯彻落实中共中央办公厅、国务院办公厅印发《关于推动现代职业教育高质量发展的意见》《国务院关于印发国家职业教育改革实施方案的通知》要求,根据《教育部关于印发〈全国职业院校教师教学创新团队建设方案〉的通知》(教师函〔2019〕4号)部署安排,现就进一步加强全国职业院校教师教学创新团队(以下简称创新团队)建设有关事宜通知如下。
一、明确创新团队建设目标任务
创新团队建设是加快职业教育和“双师型”教师队伍高质量发展的有力抓手和重要举措,要按照“政府统筹与分级创建相结合、学校自主建设与校际校企协同发展相结合、个人成长与团队发展相结合、团队建设与教学创新相结合”的原则,突出示范引领、建优扶强、协同创新、促进改革,结合当地经济社会发展、产业特点和学校骨干专业(群),因地制宜做好省级、校级创新团队整体规划和建设布局,与国家级创新团队协同发展、组网融通,着力打造一批德技双馨、创新协作、结构合理的创新团队,形成“双师”团队建设范式,为全面提高复合型技术技能人才培养质量提供强有力的师资支撑。
二、强化创新团队教师能力建设
创新团队建设要把教师能力提升作为核心任务,加强专项培训。将“双高”院校等优质高校专业资源、国家级创新团队建设模式经验和培训基地特色优势融合整合,形成符合创新团队建设需求和发展规律的培训模式和课程体系。要重点围绕师德师风、“三全育人”、教学标准、职业技能等级标准、课程体系重构、课程开发技术、模块化教学设计实施等内容,突出创新团队自身建设和共同体协作的方法路径,通过全程伴随式培训和指导帮带,全方位提高创新团队教师能力素质。要优先保障创新团队教师企业实践,充分利用各级企业实践基地和对口企业,通过参加技能培训、兼职锻炼、参与产品研发和技术创新不断提升实习实训指导和技术技能创新能力,每年累计时长不少于1个月,且尽量连续实施。
三、形成创新团队建设范式
创新团队建设要突出模式方式、制度机制、构成分工等内涵建设,形成团队自身的建设范式。创新团队成员应包括公共课、专业课教师(含实习指导教师)和具有丰富工作经验的企业兼职教师,“双师型”教师占比不低于50%。成员构成要科学合理且相对稳定,充分考虑职称、年龄、专业等因素,调整比例不应超过30%。创新团队负责人应为专业带头人,具有较强的课程开发能力和丰富的教改经验,不得随意更换。国家级创新团队负责人调整,需经省级教育行政部门同意后报教育部备案。要指导学校利用好校内外资源,全过程参与,逐段明确目标任务和责任分工,探索形成创新团队建设机制、运行模式和管理制度。
四、突出创新团队模块化教学模式
创新团队建设要打破学科教学传统模式,把模块化教学作为重要内容,探索创新项目式教学、情境式教学。要将行业企业融入建设周期,全过程参与人才培养方案制订、课程体系重构、模块化教学设计实施等。要适应产业转型升级和经济高质量发展,按照职业岗位(群)能力要求和相关职业标准,不断开发和完善课程标准。要打破原有的专业课程体系框架,基于职业工作过程重构。要积极将职业技能等级标准,行业企业新技术、新工艺、新规范和优质课程等资源纳入专业课程教学,研究制订专业能力模块化课程设置方案,将每个专业划分为若干核心模块单元。要做好课程总体设计,创新团队教师集体备课、协同教研,分工协作进行模块化教学,形成各具特色的教学风格,不断提升教学质量效果。
五、加强创新团队协作共同体建设
创新团队建设要加强校际协同和校企深度合作,促进“双元”育人。要按照专业领域,由若干创新团队立项院校、创新团队培训基地,以及科研院所、稳定的合作企业和产教融合实训基地共同组建协作共同体,建立协同工作机制,制定工作章程,成立组织机构,明确成员分工,加强人员交流、研究合作、资源共享,在团队建设、师资培养、教学改革等方面协同创新。应充分发挥国家级创新团队立项院校协作共同体的示范引领和辐射带动作用,积极吸纳相同专业领域的省级、校级创新团队参与,形成该专业领域的创新团队协作网络,促进资源优化配置,推动专业教学改革。
六、加大创新团队建设保障力度
各地各校应将创新团队建设纳入教育教学改革和学校整体发展规划,加强支持保障。应制定本级创新团队建设方案、管理办法,明确负责部门和分管领导,出台支持政策,建立奖惩机制,把创新团队建设列为对应级别的重点科研项目,支持各级创新团队开展教育教学改革研究与实践。鼓励创新团队通过校企合作、科研项目、社会服务等途径积极筹措发展资金。在考核评价、职称晋升、“双师型”教师认定等个人发展,以及学历提升、境内外访学研修等专业发展方面,要将参与创新团队情况作为重要依据,优先考虑。各地各校要利用好教师发展中心(培训中心),为创新团队建设和团队教师发展提供平台支持。
七、加强创新团队建设的检查验收
省级教育行政部门负责区域内创新团队建设的总体规划、统筹协调,以及对区域内国家级创新团队建设的全过程督促检查和质量监控。学校为创新团队建设的第一责任主体,要保证建设质量和效果。各地各校在创新团队建设过程中,要突出可复制推广的团队建设范式、团队教师能力提升、模块化教学模式运用、专业建设成果等重点任务。各地各校要建立本级创新团队建设评价指标体系,对偏离目标任务、建设效果较差的,应实行动态调整。建设期满后,要进行综合评价和考核验收,经验做法和建设成果要凝练总结、推广应用,不达标的应视情取消项目承担资格。
各地要按照要求切实加强创新团队建设,及时梳理总结经验做法,加强宣传报道,认真研究解决发现的新情况和新问题。有关情况及时报告教育部(教师工作司)。
联 系 人:教育部教师工作司 孙晓虎、吴国庆;
电 话:010-66097715、66097080;
电子邮箱:fzc@moe.edu.cn。
教育部办公厅
2022年9月20日
教育部办公厅关于开展大中小学思政课一体化共同体建设的通知
教社科厅函〔2022〕49号
各省、自治区、直辖市教育厅(教委),新疆生产建设兵团教育局,部属各高等学校、部省合建各高等学校:
为统筹推进大中小学思政课一体化建设,切实发挥思政课立德树人关键课程作用,全面增强思政育人效果,现就开展大中小学思政课一体化共同体建设通知如下。
一、指导思想
以习近平新时代中国特色社会主义思想为指导,深入学习宣传贯彻党的二十大精神,贯彻习近平总书记关于思政课建设的重要论述,全面贯彻党的教育方针,落实立德树人根本任务,坚持问题导向、目标导向和效果导向相结合,以点带面、分层分类,完善工作机制,加强协同合作,注重资源整合,深入推进大中小学思政课一体化建设,切实增强思政课的针对性、有效性,更好地用党的创新理论铸魂育人。
二、工作目标
充分调动各地积极性,因地制宜,因势利导,在省级层面打造一批理论与实践相结合的创新性研究型工作平台,努力形成一套工作机制、孵化一批品牌活动、打造一批示范“金课”、产出一批优质课程资源、形成一批高水平教学研究成果、提供一批高质量智库咨政报告、培养一支优秀师资队伍,为深入推动全国大中小学开展思政课一体化理论研究和实践探索,提供工作平台、实践经验、理论支撑和决策咨询。
三、工作要求
(一)共同体自2022年起每两年为一个周期。各地教育部门要围绕工作目标,按照所报工作方案,认真履行指导责任,强化项目化、制度化精细管理,用好教育部等八部门设立的“大思政课”实践教学基地,确保常态化推进、做深做实、落地见效。
(二)教育部将根据各共同体工作情况,每年给予专项经费支持。各地教育部门和共同体牵头高校可给予配套经费支持,并制定专项经费管理办法。各牵头高校统筹专项经费的具体使用,确保专款专用,符合有关规定。
(三)各地教育部门要每半年开展一次工作成效评估,总结工作进展,完善工作路径,切实将指导责任落实落细。教育部将以解决突出问题、产生实际效果、经得起实践检验作为根本标准,通过多种渠道和方式,对共同体工作进行不定期考核,并根据考核结果动态调整、拨付经费。
(四)各地教育部门要注重总结提升,及时收集大中小学思政课一体化共同体建设的好经验好做法,将有效的工作举措、宝贵的工作经验转化为可借鉴、可推广的工作模式和制度机制,并形成总结材料报教育部(社会科学司)。总结材料包括但不限于优质教学案例、教案、课件、讲义,示范“金课”、短视频,高质量学术文章、教研成果、实践教学成果、咨政报告等。
教育部办公厅
2022年12月27日
教育部办公厅关于开展习近平新时代中国特色社会主义思想大学习领航计划主题
教育活动的通知
教社科厅函〔2023〕14号
各省、自治区、直辖市教育厅(教委),新疆生产建设兵团教育局,部属各高等学校、部省合建各高等学校:
2023年是全面学习贯彻党的二十大精神开局之年。为坚持不懈用习近平新时代中国特色社会主义思想铸魂育人,落实习近平总书记在中央政治局第五次集体学习时的重要讲话精神,充分发挥“大思政课”实践教学基地育人作用,推动思政小课堂与社会大课堂相结合,拓展大学生参与思政课实践教学途径,用新时代十年伟大变革的生动实践把道理讲深、讲透、讲活,不断提高思政课的针对性和吸引力,引导学生深刻领悟“两个确立”的决定性意义,增强“四个意识”、坚定“四个自信”、做到“两个维护”,坚定不移听党话、跟党走,我部决定开展习近平新时代中国特色社会主义思想大学习领航计划主题教育活动。现将有关事项通知如下。
一、活动对象
高校全日制在校学生、思政课教师
二、活动时间
2023年6月至2023年12月
三、活动内容
(一)“新思想引领新征程·新青年建功新时代”——第七届全国高校大学生讲思政课公开课展示活动
充分发挥“大思政课”实践教学基地育人作用,在开展实践教学过程中,指导大学生组建团队,以“新思想引领新征程·新青年建功新时代”为主题,结合思政课有关章节或专题进行教学设计,创新讲授“行走的思政课”“场馆里的思政课”,坚持小切口讲大道理、身边人讲身边事,引导大学生深刻理解中国共产党为什么能、马克思主义为什么行、中国特色社会主义为什么好,深化对思政课教学内容的认识和思考,展现新时代大学生的马克思主义理论素养和精神风貌。活动由教育部高校思政课教学指导委员会主办,南开大学承办,大学生思政课自主学习平台“青梨派”(以下简称“青梨派”)协办。(详细方案见附件1)
(二)“我心中的思政课”——第七届全国高校大学生微电影展示活动
运用新媒体新技术,将微电影创作作为思政课实践教学的重要形式,突出新时代十年伟大变革这一历史和实践背景,带领大学生走进“大思政课”实践教学基地,指导大学生以“我心中的思政课”为主题,以学生视角、艺术手法展现大学生心中理想的思政课,呈现思政课学习过程中的精彩故事。活动由教育部高校思政课教学指导委员会主办,武汉大学承办,“青梨派”协办。(详细方案见附件2)
(三)“思政课学习之星”——第七届全国高校大学生马克思主义理论学习夏令营活动
采取名师授课、学术报告、学员座谈、交流研讨、实践考察等形式,引导学生感悟思政课理论魅力,不断增进对习近平新时代中国特色社会主义思想的政治认同、思想认同、理论认同、情感认同,坚定对马克思主义的信仰、对中国特色社会主义的信念、对中华民族伟大复兴中国梦的信心,在“大思政课”中受教育、长才干、做贡献。活动由教育部高校思政课教学指导委员会主办,吉林大学承办。(详细方案见附件3)
四、工作要求
(一)高度重视,精心组织。本次系列活动是落实教育部党组“大思政课”建设工程的重要举措,是展示大学生学习思政课成果的重要平台。各省级教育部门要加强统筹指导,各高校要积极与“大思政课”实践教学基地对接,有序组织思政课教师和大学生积极参与各项活动,做好各项活动的成果展示和材料报送工作。
(二)认真观摩,学习提高。第六届全国高校大学生讲思政课公开课和微电影展示活动优秀作品,在“青梨派”官网活动专题页、“我的青梨派”官方微信公众号宣传展示。各地各高校可组织思政课教师和大学生认真观摩学习,不断创作更多优秀作品。
(三)创新评价,鼓励参与。各地各高校要认真落实中共中央办公厅、国务院办公厅《关于深化新时代学校思想政治理论课改革创新的若干意见》和教育部等十部门《全面推进“大思政课”建设的工作方案》,把指导学生参加主题教育及获奖情况,纳入思政课教师绩效考核、职称晋升、评奖评优等;将学生在主题教育中参与和获奖情况,纳入学生评奖评优等。
(四)创新形式,保障落实。各地各高校要结合实际,探索打造特色思政课实践教学活动,切实把好活动成果的政治关、内容关、格调品味关。有条件的地区和高校可对参加活动的学生团体或个人、指导教师给予经费和条件支持。要加大对系列活动各个环节的宣传工作,营造良好舆论环境和氛围,为成果展示搭建良好平台。
教育部社科司联系人:潘红涛、吴星
联系电话:010-66097529
教育部办公厅
2023年6月7日
教育部关于印发《普通高等学校马克思主义学院建设标准(2023年版)》的通知
各省、自治区、直辖市教育厅(教委),新疆生产建设兵团教育局,部属各高等学校、部省合建各高等学校:
为深入贯彻落实习近平总书记在二十届中央政治局第五次、第六次集体学习时的重要讲话精神以及全国教育大会、全国高校思想政治工作会议、学校思想政治理论课教师座谈会精神,深入贯彻落实中共中央、国务院《关于新时代加强和改进思想政治工作的意见》,中共中央办公厅、国务院办公厅《关于深化新时代学校思想政治理论课改革创新的若干意见》《关于加强新时代马克思主义学院建设的意见》等重要文件精神,切实发挥思政课立德树人关键课程作用和马克思主义理论学科引领作用,坚持马克思主义在意识形态领域指导地位的根本制度,进一步建强建好高校马克思主义学院,不断提升马克思主义学院建设的科学化、规范化、现代化水平,打造马克思主义理论教育教学、研究、宣传和人才培养的坚强阵地,使之成为办好高校思政课的坚强战斗堡垒,我部研制了《普通高等学校马克思主义学院建设标准(2023年版)》,现印发给你们,请参照执行。《教育部关于印发〈普通高等学校马克思主义学院建设标准(2019年本)〉的通知》(教社科函〔2019〕9号)同时废止。
教育部
2023年8月31日
普通高等学校马克思主义学院建设标准(2023年版)
一级指标 | 二级指标 | 三级指标 | 指标类型 |
组织领导与管理 | 领导责任 | 1.学校党政领导班子带头学习贯彻习近平新时代中国特色社会主义思想,深刻领悟“两个确立”的决定性意义,增强“四个意识”、坚定“四个自信”、做到“两个维护”,坚决贯彻落实习近平总书记关于教育的重要论述特别是关于高校思政课、马克思主义学院建设的重要指示批示精神和党中央决策部署,全面贯彻党的教育方针,全面推动新时代党的创新理论进教材进课堂进头脑,深入实施“大思政课”建设工程,坚持不懈用习近平新时代中国特色社会主义思想铸魂育人 | A* |
2.学校党委书记落实第一责任人责任,校长负起政治责任和领导责任,每学年分别到马克思主义学院至少召开1次现场办公会、解决实际问题 | A* |
3.分管思政课建设的校领导、分管教学科研等工作的校领导要主动研究马克思主义学院工作,开展经常性工作指导督促 | A |
4.校党委(常委会)会议、校长办公会议每学期分别至少召开1次专题会议,研究马克思主义学院建设重点工作,在工作格局、队伍建设、支持保障等方面采取有效措施,会议决议及时落实 | A |
5.学校党委要推动本校马克思主义学院与其他高校马克思主义学院协同发展,主动争取与有关部门共建马克思主义学院,积极开展与中小学思政课共建,共同推动大中小学思政课一体化建设 | A |
组织领导与管理 | 领导责任 | 6.学校党政领导班子带头推动思政课建设,带头联系思政课教师。学校党委书记、校长每学期至少为学生讲授4个课时的思政课,领导班子其他成员每学期至少为学生讲授2个课时的思政课;学校党委书记、校长及分管思政课建设的校领导,每学期对每门思政课至少听1课时 | B |
7.全面贯彻党的教育方针,坚持把立德树人的成效作为检验学校一切工作的根本标准,把思政课作为重点课程、把马克思主义理论学科作为重点学科、把马克思主义学院作为重点学院、把思政课教师作为学校干部队伍重要来源,纳入学校发展规划以及“双一流”建设方案进行重点建设,及时总结宣传推广建设经验 | A |
8.严格督导考核,在巡视巡察中加大对马克思主义学院建设情况的督查力度。把马克思主义学院建设列为学校党的建设工作考核、办学质量评估的重要内容,作为学校党政领导班子、主要领导和分管领导综合考核评价的重要参考 | A |
机构设置 | 9.坚持“马院姓马,在马言马”的鲜明导向和办学原则,擦亮我国大学最鲜亮的底色,马克思主义学院统一开设全校思政课、统一管理思政课教师、统一负责马克思主义理论学科建设,巩固马克思主义在高校意识形态领域的指导地位 | B |
10.根据马克思主义学院规模和工作任务,科学确定党政领导班子职数。按照政治立场坚定、理论功底扎实、业务管理能力突出、工作作风优良、师德师风高尚的标准,拓宽选才视野,面向全国选优配强学院党政领导班子。班子成员是中共党员,并一直从事思政课教学和马克思主义理论研究,有团结精神、奉献精神,处事公道,开拓进取,群众认可 | A* |
11.本、专科思政课(包括“形势与政策”课)教学应按课程分别设置教研室(组),研究生思政课教学可结合实际设置教研室(组),党政工团组织机构健全,教学委员会、学术委员会、学位评定委员会等机构运转有效 | B |
组织领导与管理 | 工作机制 | 12.制定学院中长期发展规划,规划既符合思政课建设和马克思主义理论学科发展要求,又与本地或本校重点学院建设要求相一致 | A |
13.健全学院集体领导、党政分工合作、协调运行的工作机制,提升班子整体功能和议事决策水平。完善学院二级教代会或教职工大会制度,实行民主管理和监督 | B |
基础建设 | 14.学校在保障马克思主义学院正常办公经费的基础上,本科院校按在校生总数每生每年不低于40元,专科院校每生每年不低于30元的标准提取专项经费,用于思政课教师的学术交流、实践研修等,并随着学校经费的增长逐年增加。专项经费安排使用明确,专款专用 | A |
15.学校对马克思主义学院办公用房等校内公共资源配置给予优先保障,原则上教授有独立的教研用房 | B |
16.配备满足教学科研需要的硬件设备和图书资料室,图书期刊、音像资料齐全,更新及时、借阅高效 | B |
思政课教学 | 教学组织 | 17.牢固树立思政课建设是马克思主义学院第一要务的立院导向,按照中央确定的最新课程方案,开齐开足各门思政课 | A |
18.加强以习近平新时代中国特色社会主义思想为核心内容的思政课程群建设,重点围绕新时代伟大变革、“四史”、中华优秀传统文化等开设选择性必修课程 | A* |
19.落实课程学分及对应学时,不挪用或减少课堂教学学时 | A |
20.合理安排教务,确保思政课各门课程有序衔接,原则上晚间和周末不安排思政课必修课,避免教师周课时安排过于集中 | A |
21.使用马克思主义理论研究和建设工程统编的最新版思政课教材。使用中央宣传部、教育部等组织制作的思政课统一课件、讲义、教学辅导用书、教学视频等资料 | A |
22.推行中班教学,班级规模原则上不超过100人。推广中班上课、小班研学讨论的教学模式 | A |
思政课教学 | 教学组织 | 23.建立健全思政课教师岗前培训与试讲制度、集体备课制度、听课互评制度、集中命题制度等。集体备课要聚焦说课、评课、磨课,注重实效,防止形式主义 | A |
教学改革 | 24.坚持改革创新,提高思政课的针对性和吸引力。推动思政课教学实现政治性和学理性相统一、价值性和知识性相统一、建设性和批判性相统一、理论性和实践性相统一、统一性和多样性相统一、主导性和主体性相统一、灌输性和启发性相统一、显性教育和隐性教育相统一。培育推广形式多样、效果确切、受学生欢迎的教学方法,注重从理论和实践、历史和现实、国际和国内的结合上回答学生关心的热点难点问题 | A |
25.探索考试评价方式改革,注重学习过程和实践成果考核,注重考查学生运用马克思主义立场、观点、方法分析问题和解决问题的能力 | B |
实践教学 | 26.构建“大思政课”工作体系,马克思主义学院统筹思政课各门课程的实践教学、教学内容、指导教师和专项经费。加强校内外多方联动,结合志愿服务、理论宣讲、社会调研等开展多样化的思政课实践教学,原则上覆盖全体在校学生 | A |
27.严格落实本科2个学分、专科1个学分用于思政课实践教学,积极与“大思政课”实践教学基地等建立合作机制,建设相对稳定的校外教学实践基地 | A |
28.积极组织思政课教师、辅导员等共同参与指导思政课实践教学。将思政课教师指导社会实践、学生理论社团等工作纳入教学工作量 | A |
教学评价 | 29.强化课堂教学纪律,教师要敢抓敢管,完善课堂教学管理办法,建立完备的教学内容、教学质量监测和教学督导制度 | B |
30.以学生获得感为评价导向,注重教学效果评价,增加教学研究和教学成果在评价体系中的权重。思政课教学评价结果作为思政课教师绩效考核、职务(职称)晋升、评奖评优的首要依据 | A* |
教师队伍建设 | 政治素质 | 31.按照政治要强、情怀要深、思维要新、视野要广、自律要严、人格要正的要求,建设一支专职为主、专兼结合、数量充足、素质优良的思政课教师队伍 | A |
32.不断增强思政课教师的政治判断力、政治领悟力、政治执行力,打牢马克思主义理论功底,推动教师做先进思想文化的传播者、党执政的坚定支持者,更好担起学生健康成长指导者和引路人的责任,努力成为马克思主义理论教育家 | A |
配备培养 | 33.严格按照师生比不低于1:350的比例核定专职思政课教师岗位,在编制内配足,且不得挪作他用。思政课教师原则上是中共党员、应具有马克思主义理论相关学科背景 | A |
34.选聘高水平专家担任特聘教授,统筹好地方党政领导干部、企事业单位负责人、社科理论界专家、各行业先进模范以及院士、专业课骨干教师等上思政课讲台,推动形成思政课教师、辅导员队伍深度融合的工作机制 | B |
35.组织思政课教师参加各级宣传、党校、教育等部门组织的示范培训。学校每年对全体思政课教师至少进行1次校级培训,有条件的学校可开展国(境)外研修等。有计划地安排思政课教师参加校内外挂职锻炼 | A |
师德师风建设 | 36.建立思政课教师师德师风常态化教育和监管制度,学校在每年思政课教师校级培训中,安排政治安全、意识形态安全、师德师风建设等专题 | A |
37.严格落实教育部《关于推开教职员工准入查询工作的通知》和最高人民法院、最高人民检察院、教育部《关于落实从业禁止制度的意见》,严把思政课教师选用管理考核的政治关、师德关、业务关 | A* |
38.建立思政课教师退出机制,对出现政治立场倾向问题、师德师风问题、不适合继续从事思政课教学的人员,第一时间退出思政课教师队伍;造成严重不良影响的,要依法依纪依规严肃处理 | A* |
教师队伍建设 | 职务(职称)评聘 | 39.在专业技术职务(职称)评聘工作中,单独设立马克思主义理论类别,校级专业技术职务(职称)评聘委员会有同比例的马克思主义理论学科专家。思政课教师高级专业技术职务(职称)岗位比例不低于学校平均水平,指标不得挪作他用 | A |
40.制定实施符合思政课教师职业特点的职务(职称)评聘标准,突出教学和教学研究占比。思政课教师参加中央和国家机关举办的教学类活动所获奖项,参与省部级以上重要工作的鉴定证明,在中央主流媒体、地方主要党报党刊发表的理论文章,在中央和国家机关主管的马克思主义理论类学术期刊发表的论文成果,被省部级以上部门采纳的决策咨询报告,产生重要影响的网络优秀作品等,应作为专业技术职务(职称)评定的核心成果 | A* |
马克思主义理论学科建设 | 学科设置 | 41.严格依据二级学科设置相关规定,科学设置马克思主义理论学科所属二级学科 | B |
42.明确二级学科带头人,思政课专职教师有明确的二级学科归属和研究方向。发挥学科带头人在学科建设中的作用,凝练学科研究方向 | B |
科学研究 | 43.加强马克思主义学科群建设,加强跨学科研究,充分发挥马克思主义理论学科引领作用。从整体上研究马克思主义基本原理和科学体系,深入研究马克思主义中国化时代化理论成果,重点研究习近平新时代中国特色社会主义思想,着力深化党的创新理论体系化研究、学理化阐释。紧紧围绕坚持和发展中国特色社会主义,深入研究中国式现代化的重大理论和实践问题。紧紧围绕推动新时代党的创新理论入脑入心,深入研究思政课教学重点难点问题和教学方法改革创新 | B |
44.坚持教学引导科研、科研支撑教学的学术导向,研究成果服务育人目标,消除教学、科研两张皮现象。开展科研成果评优奖励,加大对中青年教师的科研支持力度 | B |
马克思主义理论学科建设 | 科学研究 | 45.加强对学术会议的审批管理,严把会议导向关、内容关、人员关,切实提高会议质量和实效,杜绝各种低效、无效会议。支持一线思政课教师多参与高水平学术交流。不断扩大马克思主义理论学科影响力和研究成果国际传播力 | A |
人才培养 | 46.有条件的学校统筹推进马克思主义理论学科本硕博一体化人才培养。科学制定马克思主义理论本科专业人才培养方案,明确培养目标、完善课程体系、加强过程管理。积极承担“国家关键领域战略人才储备招生计划”培养任务。人才培养方案符合教育部、国务院学位委员会关于本学科专业本科、硕士、博士学位基本要求,开设核心课程 | A |
47.研究生入学考试、课程设置与教学、中期考核、科研训练、学位论文开题和答辩等环节管理规范,保证研究生培养质量 | B |
48.导师遴选和日常管理严格,保证导师对研究生的指导时间 | B |
49.支持思政课专职教师攻读马克思主义理论学科博士学位。有条件的学校积极承担“思政课教师在职攻读马克思主义理论博士学位专项计划”培养任务 | B |
社会服务与社会影响 | 决策咨询 | 50.组织思政课教师围绕国家大政方针和地方经济社会发展的重大问题和重要实践,以及思政课改革创新、马克思主义学院高质量发展等重要方向,开展调查研究和政策研究,撰写研究报告,提高咨政服务能力 | B |
51.支持思政课教师参与各级党政部门重要文件、工作报告等起草工作,参与企事业单位决策咨询 | B |
理论宣讲 | 52.支持思政课教师参加各级各类宣讲团,大力宣传阐释新时代党的创新理论和党中央重大决策部署 | B |
53.支持思政课教师在主流媒体刊发有影响的理论文章,创作通俗理论读物、音像作品,参加各类媒体政论节目,弘扬主旋律,传播正能量,抵制和批判各种错误思潮 | B |
党的建设与思想政治工作 | 基层党组织建设 | 54.围绕推动新时代党的建设新的伟大工程向纵深发展,把政治建设摆在首位,着力提高组织力和领导力,突出政治功能、强化政治引领,按照有利于党的领导、有利于党组织活动、有利于党员教育管理的原则,调整优化支部设置,推行教师党支部按教研室设置,学生党支部按班级年级或学科专业设置,充分发挥党支部的战斗堡垒作用 | B |
55.把抓好党建工作作为办学治院的基本功,加强党的领导,进一步强化马克思主义学院党委(党总支)的政治功能和组织功能,履行政治责任,保证监督党的路线方针政策及上级党组织决定的贯彻执行 | B |
56.坚持民主集中制,健全学院党组织会议和党政联席会议制度,有关干部任用、党员队伍建设等工作,由党组织会议研究决定,涉及办学方向、教师队伍建设、师生员工切身利益等重大事项,党组织会议先研究再提交党政联席会议决定 | A |
57.严格理论学习中心组学习、“三会一课”、民主生活会和组织生活会、谈心谈话、民主评议党员等制度。深入学习习近平新时代中国特色社会主义思想,开展形势政策教育,用党的创新理论武装头脑、指导实践、推动工作,每月至少固定半天时间开展党日活动,组织师生党员深入学习党章党规党纪,经常性开展警示教育 | B |
58.实施党员先锋工程和党员名师工程,创设党员教育管理服务示范岗,使师生党员发挥先锋模范作用 | B |
59.建立师生思想政治状况定期研判制度,通过日常联系、谈心谈话等渠道,了解分析师生思想特点和变化,给予关心关爱,帮助解决实际困难和问题 | B |
文化建设 | 60.大力弘扬理论联系实际的马克思主义学风,培育特色鲜明的学院文化,凝练体现办院目标的院训,引导学院师生建设良好的政治生态 | B |
61.结合重要节日、重大事件,积极组织马克思主义理论类研学活动,鼓励思政课教师指导学生理论社团,提升理论品质,引领校园文化 | B |
说明:
(1)关于指标类型。建设指标分A*、A、B三类,共61项,其中A*为核心指标(8项),A为重点指标(26项),B为基本指标(27项)。
(2)关于评价标准。本科院校A*指标7项、A类指标23项以上、B类指标25项以上达标方可认定合格;专科院校A*指标6项、A类指标21项以上、B类指标22项以上达标方可认定合格。
(3)关于教师类别。专职教师是指编制在思政课教学科研机构且从事思政课教学科研工作的教师;兼职教师是指编制属其他教学机构或管理部门(单位)的教师。